| Version | Summary | Created by | Modification | Content Size | Created at | Operation |
|---|---|---|---|---|---|---|
| 1 | Ahmed M. Hala | -- | 1044 | 2025-09-18 01:13:50 | | | |
| 2 | Ahmed M. Hala | + 5 word(s) | 1049 | 2025-09-19 18:14:04 | | | | |
| 3 | Ahmed M. Hala | + 260 word(s) | 1309 | 2025-09-22 20:21:52 | | | | |
| 4 | Ahmed M. Hala | -71 word(s) | 1238 | 2025-09-23 09:47:34 | | | | |
| 5 | Catherine Yang | Meta information modification | 1238 | 2025-09-23 10:49:56 | | | | |
| 6 | Ahmed M. Hala | + 165 word(s) | 1403 | 2026-01-03 12:30:05 | | | | |
| 7 | Ahmed M. Hala | + 1 word(s) | 1404 | 2026-02-11 18:03:32 | | | | |
| 8 | Ahmed M. Hala | Meta information modification | 1404 | 2026-03-07 16:12:15 | | | | |
| 9 | Ahmed M. Hala | Meta information modification | 1404 | 2026-03-07 18:06:42 | | | | |
| 10 | Ahmed M. Hala | + 177 word(s) | 1581 | 2026-04-14 12:50:32 | | | | |
| 11 | Ahmed M. Hala | + 11 word(s) | 1592 | 2026-05-08 17:15:25 | | |
The Hala attractor (جاذب حلا) is a self-regulating chaotic system, while the modified Hala attractor is a model that bridges the gap between dissipative chaos and an ideal Hamiltonian-like chaotic system. The hybrid version of the Hala attractor is a spatiotemporal formulation that is explained in this entry in the context of probing a physical plasma system in comparison with the experimental Langmuir probe I-V characteristics trace. Even though the attractor original formulation was for introducing a damping term to a Lorenz-like attractor, application of the Hala chaos control term in that formulation proved to be a universal operator that compresses chaos discretely and weaken it across many types of chaos attractor systems. Further, a robust technique was developed to introduce a process, the Successive Controlled Collapse (SCC), to discretize the continuous Hala attractor for programmable applications. The creator of the Hala attractor is Dr. Ahmed M. Hala (الدكتور أحمد معتوق حلا).
The body of research on the Hala attractor represents a contribution in the field of nonlinear dynamics and chaos theory. It highlights a different treatment than the conventional view of chaos as an intrinsic, uncontrollable feature of certain systems, instead reframing it as a tunable, controllable property. This cohesive research direction, spanning three studies, demonstrates that chaos is not a binary, all-or-nothing state but rather a gradient that can be systematically regulated. Through a blend of successive theoretical refinements and empirical validation, particularly in the realm of plasma physics, the work indicates that chaotic behavior can be controlled via specific parameters, external forcing, spatial context, and even measurement perturbations. In addition, this innovative perspective reconciles dissipative and Hamiltonian views of chaotic systems, offering a new perspective through which to interpret and control complex dynamical behaviors.
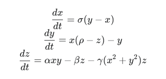
The historical progression of the Hala attractor framework is marked by a series of logical and cumulative theoretical advances. The initial study [1] introduced the Hala attractor operator by modifying a classic Lorenz-type ordinary differential equation system. The key innovation was the incorporation of a nonlinear feedback term, quantified by a parameter .

Numerical simulations and analysis of the largest Lyapunov exponent revealed that as increases, the system undergoes a continuous transition—through a series of bifurcations—from chaotic strange attractor behavior to stable fixed points. This finding demonstrated that the chaotic regime could be collapsed with only small changes in a single parameter, proving that chaoticity is not an intractable attribute but a gradient property.

The second work [2] expanded this foundation by adding a crucial dissipation parameter, δ, and an external periodic forcing term with adjustable amplitude and frequency. This theoretical expansion was designed to explore the intricate interplay among dissipation, resonance, and chaos. By manipulating these parameters, the system could be made to interpolate between strongly dissipative behavior, where phase space volumes contract significantly, and Hamiltonian-like (nearly volume-preserving) behavior. The analysis of the Lyapunov spectra, phase space trajectories, and measures of volume contraction showed a remarkable result: as dissipation was reduced toward zero, the system's phase space contraction vanished, yet the largest Lyapunov exponent remained positive. This demonstrated the persistence of chaotic behavior even in the Hamiltonian limit, where energy is conserved. External forcing, meanwhile, yielded distinct resonant phenomena, which are vital for modeling physical processes such as plasma heating, where energy exchange via resonance is paramount.
The third study [3] tied these theoretical advances to real-world phenomena through empirical validation. Most commonly found experimental current-voltage (I-V) traces obtained from Langmuir probes in quiescent plasma were considered, specifically in the electron saturation region. Through quadratic fitting of this region, a discrete recurrence relation was extracted whose bifurcation diagram displayed a classic period-doubling cascade culminating in a chaotic regime. In addition, a spatial dependence was observed, with chaos manifesting more strongly at the magnetically confined plasma boundary and relative order or stability in the quiescent bulk. Furthermore, temporal transitions were observed when the diagnostic probe actively perturbed the system, acting as a form of measurement intrusion. It was shown then that a suitably parameterized Hala attractor model could reproduce all these behaviors, including the fixed point → limit cycle → period-doubling → chaos route, as well as hysteresis effects in the I-V curves. This empirical match provided compelling evidence for the model's utility and the theoretical framework's ability to interpret and predict real-world plasma phenomena.
The Hala Attractor can undergo a deterministic control protocol called Successive Controlled Collapse (SCC), where brief activation of the nonlinear feedback parameter γ > 0 causes chaotic trajectories to collapse onto one of three fixed points in a globally contracting manner, generating infinite families of strictly discrete, non-overlapping points that trace the original strange attractor's geometry. A rigorous proof ensures no two points coincide under non-identical timings, establishing this as a programmable discrete-chaotic machine from a continuous chaotic system [4]

Figure 1. Fixed-point discrete constellation from 150 successive controlled collapses of the Hala Attractor (= 0.14, T free = 5.0). Left: x–z projection showing the distribution of points across the attractor's discretized geometry, including the lobe points. Right: 3D view of the 150 points replacing the continuous Hala attractor with a strictly discrete, programmable set. The cyan bridge of transient points between lobes is a novel structure unique to the nonlinear feedback term (t) x2z.
The collective work on the Hala attractor opens up an important implications and applications. The central tenet—that one can engineer systems whose chaoticity is under control—has relevance in numerous domains beyond plasma physics.
Plasma Physics: The ability to control chaotic behavior is fundamental to understanding and manipulating wave-particle interactions, plasma heating mechanisms, and instabilities. It also holds promise for mitigating boundary phenomena in fusion devices, a critical challenge in the quest for clean energy.
Secure Communications: Chaos can be harnessed for encryption or masking signals due to its inherent unpredictability and sensitivity to initial conditions. Chaotic signals can be used as carriers for secure data transmission, a field known as chaos-based communication. Related literature supports this potential, with optomechanical systems showing that modulated coupling can enable a switch between chaotic and regular behavior, suggesting applications in low-power optical secure communication.
Random Number Generation: Micromechanical and nanomechanical resonators under nonlinear driving can be pushed into chaotic oscillation regimes through amplitude or frequency modulation. This chaotic output can be converted into high-quality True Random Number Generators (TRNG), which are essential for cryptography and computational simulations.
Mixing and Fluid Dynamics: In industrial and chemical engineering, controlled chaos can be used to optimize mixing processes, ensuring uniform distribution of substances and enhancing reaction efficiency.
Biological and Biomedical Systems: The principles of tunable chaos could be applied to models of biological systems, from heart rhythms to neural networks, to better understand and potentially control pathological states that involve erratic or chaotic dynamics.
Despite these important contributions, the body of research acknowledges several limitations and outlines a clear path for future research. Most analyses to date have focused primarily on the largest Lyapunov exponent, rather than the full Lyapunov spectra. A more complete understanding of the system's dynamics requires mapping all exponents and relating them to the attractor's dimensionality. The detailed fractal dimension (e.g., Kaplan-Yorke dimension, Hausdorff dimension) of the strange attractors under varying parameters has not yet been fully mapped, which is essential for characterizing their complexity.
Further, the Hala attractor framework introduces a universal operator that treats chaos as a controllable resource by applying internal, state-dependent feedback to a dynamical system's stretching direction. Rather than relying on external interventions, this method utilizes a specific damping term that is weak near the origin but becomes dominant during large movements, effectively stabilizing the system's unstable saddle-foci. This process follows a consistent three-tier hierarchy across various chaotic regimes, ranging from the tuning of local stability to the total collapse of chaotic dimensions into stable fixed points. Ultimately, the framework demonstrates that complex chaotic behaviors in systems like plasma dynamics or atmospheric models can be deterministically programmed and suppressed, recasting chaos as a tunable asset for computational and physical applications [5].
Moreover, the current models are low-dimensional and idealized. Real plasma systems are spatially extended, noisy, heterogeneous, and subject to measurement back-action and perturbations. A deeper study is needed to assess the robustness of chaos tunability under these realistic conditions. The precise thresholds for bifurcations in terms of , δ, and external forcing parameters are currently determined numerically, and rigorous theoretical or analytical proofs are lacking. From the empirical side, more extensive measurements of spatial and temporal variation, higher-resolution diagnostics, and controlled experiments that systematically vary the parameters corresponding to the model would greatly strengthen validation.
Looking ahead, future work should aim to:
Advanced Theoretical Analysis: Computing the full Lyapunov spectrum across the parameter space and relating it to attractor dimensionality and complexity.
Higher-Dimensional Models: Extending the models to spatially extended, high-dimensional systems (e.g., partial differential equations) to better mimic realistic plasma behavior.
Noise and Perturbation Studies: Systematically investigating the effects of stochastic perturbations, measurement noise, and probe-induced perturbations. This could be inspired by quantum-chaos literature, which shows that the measurement strategy itself can act as a control parameter.
Control Strategies: Investigating robust control strategies for chaos—how to reliably suppress it or trigger it—in engineered systems.
Thermodynamic Considerations: Exploring thermodynamic and entropy considerations, especially near the Hamiltonian limits, to understand the energy implications of controlling chaos.
Practical Prototype Development: Pursuing the development of practical prototypes in fields like controlled plasma heating, boundary instability mitigation in fusion devices, secure communications, and random number generation to translate the theoretical findings into tangible technologies.