Your browser does not fully support modern features. Please upgrade for a smoother experience.
Submitted Successfully!
Thank you for your contribution! You can also upload a video entry or images related to this topic. For video creation, please contact our Academic Video Service.
Version Summary Created by Modification Content Size Created at Operation
1 Henrique Silvano Arruda -- 5000 2023-04-19 18:32:16 |
2 layout Camila Xu Meta information modification 5000 2023-04-20 03:12:11 |

Video Upload Options

We provide professional Academic Video Service to translate complex research into visually appealing presentations. Would you like to try it?
Cite
If you have any further questions, please contact Encyclopedia Editorial Office.
Arruda, H.S.; Borsoi, F.T.; Andrade, A.C.; Pastore, G.M.; Marostica Junior, M.R. Bioactive Compounds Found in Araticum Fruit Parts. Encyclopedia. Available online: https://encyclopedia.pub/entry/43257 (accessed on 09 May 2026).
Arruda HS, Borsoi FT, Andrade AC, Pastore GM, Marostica Junior MR. Bioactive Compounds Found in Araticum Fruit Parts. Encyclopedia. Available at: https://encyclopedia.pub/entry/43257. Accessed May 09, 2026.
Arruda, Henrique Silvano, Felipe Tecchio Borsoi, Amanda Cristina Andrade, Glaucia Maria Pastore, Mario Roberto Marostica Junior. "Bioactive Compounds Found in Araticum Fruit Parts" Encyclopedia, https://encyclopedia.pub/entry/43257 (accessed May 09, 2026).
Arruda, H.S., Borsoi, F.T., Andrade, A.C., Pastore, G.M., & Marostica Junior, M.R. (2023, April 19). Bioactive Compounds Found in Araticum Fruit Parts. In Encyclopedia. https://encyclopedia.pub/entry/43257
Arruda, Henrique Silvano, et al. "Bioactive Compounds Found in Araticum Fruit Parts." Encyclopedia. Web. 19 April, 2023.
Bioactive Compounds Found in Araticum Fruit Parts
Edit

Araticum (Annona crassiflora Mart.) is a native and endemic species to Brazilian Cerrado whose fruits have high sensorial, nutritional, bioactive, and economic potential. Its use in local folk medicine, associated with recent scientific findings, has attracted growing interest from different industrial sectors. Therefore, understanding the scientific advances achieved so far and identifying gaps to be filled is essential to direct future studies and transform accumulated knowledge into innovative technologies and products. This entry summarizes the phytochemical composition of araticum fruit that has been reported in the scientific literature over the past 10 years. The compiled data showed that araticum fruit parts contain many bioactive compounds, particularly phenolic compounds, alkaloids, annonaceous acetogenins, carotenoids, phytosterols, and tocols. These phytochemicals contribute to different biological activities verified in araticum fruit extracts/fractions, including antioxidant, anti-inflammatory, anti-Alzheimer, anticancer, antidiabetic, anti-obesity, antidyslipidemic, antinociceptive, hepatoprotective, healing of the cutaneous wound, antibacterial, and insecticide effects. Therefore, bioactive compounds found in the araticum fruit can be a new potential tool in treating and preventing different diseases, promoting health and well-being to consumers.

marolo Cerrado fruit phenolic compounds alkaloids annonaceous acetogenins carotenoids phytosterols tocols Annona crassiflora Mart. phytochemical composition

1. Introduction

Araticum (Annona crassiflora Mart.), also popularly known as marolo, articum, ariticum, araticum-do-cerrado, bruto, cabeca-de-negro, cascudo, panã, pinha-do-cerrado, and pasmada, is a fruitful tree, native and endemic to Brazilian Cerrado, belonging to the Annonaceae family [1]. This species is widely distributed along the Cerrado biome areas, covering the states of Minas Gerais, São Paulo, Goiás, Bahia, Mato Grosso, Mato Grosso do Sul, Tocantins, Maranhão, Piauí, Pará, and Federal District [2]. Obtaining the fruits for commercial purposes has been done in an extractive manner from native populations, in areas of the Brazilian Cerrado, due to the absence of commercial plantations. Therefore, araticum plants present high genetic diversity since they come from seeds that have not yet undergone genetic improvements, thus resulting in highly different individuals [3]. Moreover, several factors can affect the genetic diversity of this species, including climatic conditions (e.g., temperature), geographical location, and landscape where the matrix is located (e.g., percentage of forestry cover, water, and urban areas) [4][5].
Araticum is a medium-sized tree, reaching 4 to 8 m in height and about 4 m in crown diameter (Figure 1A). The fruit has a subglobose shape, with a green epicarp when unripe and one that is greenish-brown when ripe (Figure 1B,C). The pulp is arranged on a fleshy and tapered receptacle, and it has a color ranging from white to yellowish-pink, a characteristic strong and slightly sweet flavor, and a pleasant smell (Figure 1D). In addition, the pulp is composed of cone-shaped buds (90–190 carpels) that contain a single seed (Figure 1E). The seeds have a flattened obovoid shape and bone consistency with a smooth, opaque, and light brown surface (Figure 1F) [6].
Figure 1. Araticum (Annona crassiflora Mart.) (A) tree, (B) unripe fruit, (C) ripe fruit, (D) fruit cross-section, (E) carpels, and (F) seeds. Pictures taken by Henrique Silvano Arruda in natural areas of the Cerrado biome located in the city of Carmo do Paranaíba, Minas Gerais, Brazil (altitude of 1061 meters above sea level at a latitude of 19°00′03″ S and longitude of 46°18′58″ W).
Araticum fruit parts have been used for centuries by folk medicine to treat different pathological conditions. The fruit is used by local and traditional medicine as a tonic and astringent, as well as for treating pain and rheumatism [7][8], whereas seed preparations are reported as antidiarrheic, antitumor, and insecticide agents; inductors of menstruation properties; useful for the treatment of Chagas’ disease; useful against snakebites, skin, and scalp infections [6]. In addition to being used in folk medicine, araticum fruit is highly appreciated by inhabitants of the Cerrado region. This fruit is among the 20 most used species in the regional foodstuffs, being consumed both in natura and in processed form (e.g., juices, jams, ice creams, popsicles, among others), contributing significantly to the intake of essential macro and micronutrients [9].
Recent studies have shown that both the edible fruit part (pulp) and its byproducts (peel and seeds) contain several bioactive compounds that exert important biological activities [6]. However, this information is sometimes too dispersed and out-of-date in the specialized literature, making it difficult to know which main classes of bioactive compounds identified in this fruit so far. Here, researchers compile the most recent scientific data found in the literature on the phytochemical composition of araticum fruit parts. 

2. Bioactive Compounds Found in Araticum Fruit Parts

Bioactive compounds are naturally occurring chemical substances found in plants, animals, and microorganisms that have specific biological activities and can exert a wide spectrum of beneficial effects on human health, including antioxidant, anti-inflammatory, antimicrobial, anti-aging, and anticarcinogenic effects. They are classified into diverse classes according to chemical structure, namely phenolic compounds, alkaloids, carotenoids, tocols, phytosterols, organosulfur compounds, polysaccharides, amino acids, and peptides, among others [10][11]. As shown in Table 1, bioactive compounds such as phenolic compounds, alkaloids, annonaceous acetogenins, carotenoids, phytosterols, and tocols were observed in the pulp, peel, and seed of araticum fruit, and they will be discussed in more detail throughout this section.
Table 1. A summary of studies showing the bioactive compounds found in araticum fruit.

2.1. Phenolic Compounds

Phenolic compounds are an important class of phytochemicals formed from secondary plant metabolites containing hydroxyl (−OH) substituents on an aromatic hydrocarbon chain. This class of bioactive compounds shows a large diversity of structures, including rather simple molecules (phenolic acids) and polyphenols such as stilbenes, flavonoids, lignans, and tannins, that can be found free or associated with carbohydrates, lipids, cell wall components, amines, and organic acids [34]. Phenolic compounds have multiple biochemical actions as antioxidant agents, and they are involved in the modulation of signaling pathways, gene expression, and the modification of epigenetic changes mainly related to chronic non-communicable diseases (e.g., metabolic syndromes, cancers, and neurodegenerative diseases) [35]. Therefore, phenolic compounds can be alternative or complementary tools for the prevention or management of non-communicable chronic diseases.
Phenolic compounds are the most studied bioactive compounds class in the araticum fruit parts. As can be seen in Table 1, several phenolic compounds have been identified in araticum fruit, with the most common being caffeic acid, chlorogenic acid, ferulic acid, protocatechuic acid, p-coumaric acid, catechin, epicatechin, procyanidin B2, quercetin, kaempferol, and their derivatives (Figure 2). Sophisticated analytical techniques, including high-performance liquid chromatography coupled with diode array detector (HPLC-DAD), high-performance liquid chromatography coupled with mass spectrometry (HPLC-MS), and paper spray ionization mass spectrometry (PS-MS), have been used for their identification and quantification.
Figure 2. Chemical structures of the most common phenolic compounds found in araticum fruit. Own authorship created by ChemSketch software.
Overall, the profile of phenolic compounds from the different parts of the araticum fruit (pulp, peel, and seeds) is diverse. As shown in Table 1, several phenolic compounds have been identified in the pulp (derivatives of 4-hydroxybenzoic acid, p-coumaric acid, ferulic acid, gallic acid, sinapic acid, caffeic acid, (epi)catechin, quercetin, kaempferol, rutin, tangeretin, syringic acid, apigenin, and naringenin), peel (derivatives of syringic acid, ferulic acid, protocatechuic acid, hydroxybenzoic acid, caffeic acid, vanillic acid, chlorogenic acid, p-coumaric acid, (epi)catechin, kuwanon G, quercetin, kaempferol, apigenin, tangeretin, neocarthamin, isorharmnetin, luteolin, naringenin, vanillin, and lariciresinol), and seeds (derivatives of 4-hydroxybenzoic acid, gallic acid, chlorogenic acid, protocatechuic acid, caffeic acid, p-coumaric acid, synaptic acid, ferulic acid, trans-cinnamic acid, catechin, epicatechin, kaempferol, vanillin, quercetin, rutin, naringenin, and tangeretin). Arruda et al. [15] carried out an in-depth exploratory study that allowed for the identification of 112 phenolic compounds (73 flavonoids, 33 phenolic acids, and 6 other phenolics) in a hydroethanolic extract (50% ethanol) from araticum peel.
In general, the content of phenolic compounds can diverge according to fruit part (pulp, peel, and seeds), ripening stage, edaphoclimatic conditions, and storage conditions, as well as the extraction procedures and conditions (e.g., composition and polarity of the solvent, time and temperature of extraction, pH, number of re-extractions, particle size, etc.) and extraction methods (e.g., water bath shaker, maceration, ultrasound, etc.). For example, Ramos et al. [23], evaluating pulp, peel, and seeds of araticum fruit obtained from different regions, found variations of 2-fold, 2.5-fold, and 3.5-fold in the total phenolic content, respectively. In the same study, the araticum peel showed the highest content of total phenolics (837.53–1926.56 mg GAE/100 g), followed by the seeds (358.28–1186.07 mg GAE/100 g) and pulp (480.81–1007.62 mg GAE/100 g). Similarly, Arruda et al. [24] found the highest total phenolic contents in the araticum peel, followed by the pulp and the seeds. Furthermore, Arruda et al. [15] observed a 2-fold increase in total phenolic content from araticum peel when optimizing the ultrasonic power and process time. Another study by Arruda et al. [36] demonstrated that optimization extraction conditions (solvent composition, temperature, and extraction time) increase the total phenolic content extracted from araticum pulp 3-fold.
Regarding the quantification of phenolic compounds, Guimarães et al. [14] observed that catechin (16.79 mg/100 g fw) and gallic acid (1.89 mg/100 g fw) were the major compounds in araticum pulp, followed by amounts lower than 0.55 mg/100 g fw for other phenolic acids (chlorogenic acid, caffeic acid, p-coumaric acid, ferulic acid, trans-cinnamic acid, m-coumaric acid, and o-coumaric acid) and flavonoids (quercetin, vanillin, and rutin). Besides that, Arruda et al. [24] quantified 10 phenolic compounds, namely catechin (768.42 µg/g dw), epicatechin (661.81 µg/g dw), caffeic acid (124.31 µg/g dw), protocatechuic acid (97.92 µg/g dw), ferulic acid (53.71 µg/g dw), chlorogenic acid (43.45 µg/g dw), gentisic acid (14.00 µg/g dw), p-coumaric acid (11.86 µg/g dw), rutin (9.31 µg/g dw), and quercetin (7.80 µg/g dw), in araticum pulp.
There has been increasing interest in the utilization of araticum fruit byproducts (peel and seed). Arruda et al. [15] found 14 phenolic compounds in the peel, namely epicatechin (136.47 µg/g dw), rutin (58.53 µg/g dw), chlorogenic acid (16.83 µg/g dw), catechin (15.23 µg/g dw), ferulic acid (10.96 µg/g dw), vicenin-2 (2.60 µg/g dw), vanillin (3.47 µg/g dw), naringenin (2.15 µg/g dw), protocatechuic acid (1.64 µg/g dw), caffeic acid (1.22 µg/g dw), luteolin (0.91 µg/g dw), p-coumaric acid (0.49 µg/g dw), 4-hydroxybenzoic acid (0.49 µg/g dw), and vitexin (0.18 µg/g dw). Additionally, Prado et al. [22] showed the presence of 12 phenolic compounds in the peel, such as epicatechin (6221.63 µg/g extract), catechin (579.40 µg/g extract), chlorogenic acid (305.15 µg/g extract), rutin (133.31 µg/g extract), p-coumaric acid (14.97 µg/g extract), and traces of quercetin, naringenin, protocatechuic acid, 4-hydroxybenzoic acid, vanillic acid, caffeic acid, and ferulic acid. Moreover, Menezes et al. [19] quantified 11 phenolic compounds in araticum seeds, namely o-coumaric acid (3822.5 mg/kg dw), rutin (2209.4 mg/kg dw), p-coumaric acid (188.5 mg/kg dw), gallic acid (135.6 mg/kg dw), trans-cinnamic acid (102.6 mg/kg dw), quercetin (83.5 mg/kg dw), ferulic acid (63.9 mg/kg dw), caffeic acid (40.5 mg/kg dw), catechin (35.1 mg/kg dw), chlorogenic acid (14.7 mg/kg dw), and vanillin (3.1 mg/kg dw). Furthermore, Formagio et al. [20] observed the presence of rutin (493 mg/mL), caffeic acid (302 mg/mL), sinapic acid (248 mg/mL), ferulic acid (176 µg/mL), and p-coumaric acid (106 µg/mL). Although there is a variation in the content of phenolic compounds due to different ways of obtaining the extract and different analytical methods, as well as other conditions described above, which may influence their content, catechin, epicatechin, rutin, chlorogenic acid, and caffeic acid appear to be the major phenolic compounds found in pulp and peel, whereas seed shows coumaric acid, caffeic acid, rutin, catechin, and epicatechin as its main phenolics. Recent studies have reported the ability of phenolic-rich extracts obtained from araticum fruit to exert beneficial effects on human health, including antitumor, antioxidant, anti-inflammatory, antimicrobial, antihypertensive, and hepatoprotective properties. Therefore, this fruit offers a wide spectrum of technological applications in the area of functional foods, pharmaceuticals, and cosmetics.

2.2. Alkaloids

Alkaloids are a huge class of natural compounds commonly found in the Annonaceae family [37]. This class of secondary metabolites is grouped under heterocyclic and non-heterocyclic compounds based on the position of the nitrogen atom in their chemical structure [38]. Alkaloids are considered bioactive compounds capable of exerting multiple biological activities, such as antioxidant, antidiabetic, anti-inflammatory, antimicrobial, antitumoral, anti-hypertensive, antidiarrheal, antimalarial, and antidiabetic activities [6][38][39]. Additionally, there are already several drugs available on the market produced from natural plant alkaloids [40].
As can be seen in Table 1, several alkaloids have been found in araticum pulp and peel. However, the most frequently found alkaloids were stephalagine, isoboldine, xylopine, and liriodenine (Figure 3). The stephalagine was purified by semi-preparative HPLC on RP-C18 and structurally characterized by high-resolution mass spectrometry with electrospray ionization (HR-ESI-MS) and nuclear magnetic resonance (NMR) techniques, for the first time by Pereira et al. [28]. Additionally, recent studies have reported the presence of stephalagine in araticum peel and pulp [13][25][26][27][29], indicating that this compound is present in more than a fraction of the fruit. Stephalagine, an aporphine alkaloid, has demonstrated anti-obesity, antinociceptive, and anti-edematogenic effects, suggesting its use as a new potential drug [27][28]. In addition to stephalagine, other alkaloids, such as xylopine, romucosine, asimilobine, roemerine, nornuciferine, N-methylcoclaurine, guattescidine, actinodaphnine, isoboldine, and N-methyllaurotetanine, have been identified in araticum pulp [13][21]. Several studies demonstrated the presence of liriodenine, atherospermidine, isopiline, isoboldine, isocorydine, anonaine, xylopine, nuciferine, liriodenine, atherospermidine, reticuline, roemerine, nornuciferine, N-methylcoclaurine, guattescidine, actinodaphnine, and N-methyllaurotetanine in the araticum peel [21][25][29]. As mentioned above, there is a significant interest in isolating and purifying alkaloids from araticum pulp and its byproduct (peel), which can serve as potential sources for obtaining alkaloids for the pharmaceutical industry.
Figure 3. Chemical structures of the most common alkaloids found in araticum fruit. Own authorship created by ChemSketch software.

2.3. Annonaceous Acetogenins

Annonaceous acetogenins constitute a group of powerful bioactive substances derived from long-chain fatty acids (C35-C37) by polyketide pathways found exclusively in plants of the Annonaceae family. They are commonly characterized by a combination of fatty acids, with a 2-propanol unit at C-2 that forms a methyl-substituted α,β-unsaturated γ-lactone [41][42]. Annonaceous acetogenins have attracted significant scientific interest for the last decade because of their biological activities such as antiparasitic, immunosuppressive, neurotoxic, and pesticidal properties [42]. Beyond that, these compounds appear to be powerful against cancer [6][42][43]. However, chronic exposure to annonaceous acetogenins can potentiate neural damage in the body; thus, moderate consumption of these compounds is recommended [43].
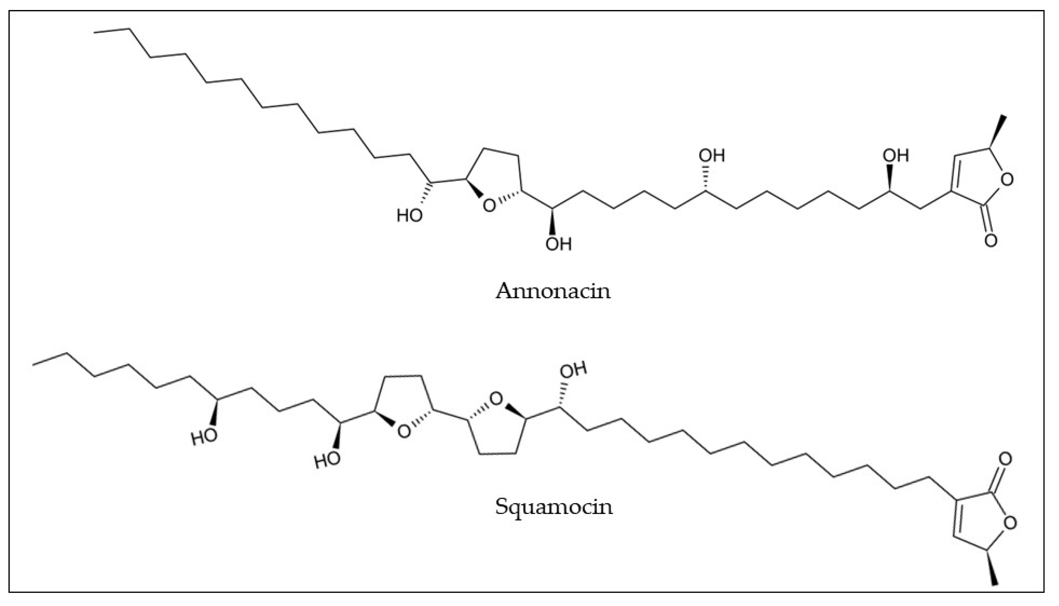
Despite their biological benefits, only five studies have reported annonaceous acetogenins composition in araticum fruits (Table 1). The methanolic extract, from araticum pulp and seeds, revealed the presence of two annonaceous acetogenins, namely annonacin (0.33 and 5.90 mg/g dw) and squamocin (0.40 and 142 mg/g dw), respectively (Figure 4) [30]. The extraction procedure and chromatographic analyses were different for each study, which allowed for the identification of different compounds from the pulp, peel, and seed fractions of the araticum fruit. Arruda et al. [15] investigated the profile of hydroethanolic extract from araticum peel, by high-performance liquid chromatography coupled with mass spectrometry with an electrospray ionization source (HPLC-ESI-MS), and found 21 annonaceous acetogenins. Ramos et al. [21] tentatively identified 17, 9, and 22 annonaceous acetogenins in the ethanolic extracts from pulp, peel, and seeds, respectively, by paper spray ionization mass spectrometry analysis (PS-MS). As reported above, in recent years, there has been an increase in interest in discovering annonaceous acetogenins present in araticum fruit because these metabolites possess a broad spectrum of biological activities and are recognized as anticancer agents. However, further studies are needed regarding their quantification and identification in araticum fruit parts.
Figure 4. Chemical structures of the most common annonaceous acetogenins found in araticum fruit. Own authorship created by ChemSketch software.

2.4. Carotenoids

Carotenoids are considered a very diverse group of natural liposoluble pigments responsible for the red, orange, and yellow colors synthesized by plants, microorganisms, and vertebrates [44]. This compound group is comprised of a large class of isoprenoid compounds characterized by a backbone with 40 carbon atoms, the possession of a centrally located conjugated double-bond system, and an ability to carry cyclic or acyclic end groups. This system serves as the chromophore and allows these compounds to absorb wavelengths in the visible spectrum (400–550 nm) [44][45]. Carotenoids are involved in a series of biochemical activities with high antioxidant activity, can display a prebiotic-like effect, and some of them present pro-vitamin A activities. Additionally, there is an association between carotenoid intake and reduced risk of several diseases, especially chronic non-communicable diseases [46].
Carotenoids have been identified and quantified in araticum pulp by high-performance liquid chromatography coupled with the diode array detector method (HPLC-DAD) (Table 1). In the araticum pulp, a low quantity of lycopene (0.02 mg/100 g fw) could be found, while α and β-carotene (2.98 and 1.97 mg/100 g) were its major carotenoids (Figure 5) [31]. Silva et al. [32] found different isoforms of carotenes in araticum pulp, namely all-trans-α-carotene (1.55–1.98 mg/100 g fw) and all-trans-β-carotene (0.86–1.58 mg/100 g fw). As mentioned above, carotenoids exert an important nutritional role, as they present pro-vitamin A activity (e.g., α and β-carotene). Additionally, these compounds are essential for eye health because some pro-vitamin A carotenoids (e.g., α-carotene, β-carotene, γ-carotene, and β-cryptoxanthin) are endogenously converted into retinoids [44]. Although there are few reports on the content and composition of carotenoids in araticum fruit, the literature is consistent in mentioning that the consumption of 100 g of the araticum pulp is enough to reach the recommended daily intake of vitamin A [6]. Thus, in natura consumption of this fruit could be an important tool to reduce food insecurity, malnutrition, and risk for several diseases.
Figure 5. Chemical structures of the most common carotenoids found in araticum fruit. Own authorship created by ChemSketch software.

2.5. Phytosterols

Phytosterols are plant-derived sterols that are structurally similar to cholesterol; however, they differ by the presence of one or two methyl or ethyl groups in the molecule’s side chain [47]. These bioactive compounds can be found in vegetable oils, nuts, and seeds, mainly in the form of sitosterol, campesterol, and stigmasterol [48]. Phytosterols have important roles in the pharmaceutical, medicine, food, and nutrition areas due to their high nutritional value, potent bioactivity, and multiple medicinal effects, such as lowering blood cholesterol levels, anti-inflammatory, antitumoral, antimicrobial, and antioxidant properties, as well as others. [6][48].
Phytosterols have been identified and quantified in araticum seeds by gas chromatography with the flame ionization detection method (GC-FID) (Table 1). Luzia and Jorge [33] showed that the seed lipid fraction contains 683.59 mg/kg of total phytosterols, namely β-sitosterol (300.02 mg/kg), campesterol (204.32 mg/kg), and stigmasterol (179.25 mg/kg) (Figure 6) [33]. Although the araticum seeds showed to be a promising source of obtaining phytosterols, little is still known about their phytosterol composition and their real contributions to health benefits.
Figure 6. Chemical structures of the most common phytosterols found in araticum fruit. Own authorship created by ChemSketch software.

2.6. Tocols

Tocols are a class of bioactive compounds present in various foods, predominantly in fruits and plant seeds [49]. Tocols can be divided into two major groups: tocopherols and tocotrienols, which are distinguished by their chemical structure. Tocopherols (α, β, γ, and δ) contain a chromanol ring and a 16-carbon phytyl side chain in their structure, differing one from the other by position and number of methylation, while tocotrienols differ from tocopherols by possessing double bonds in the 16-carbon side chain at the positions of 3′-, 7′-, and 11′ [49][50]. These bioactive compounds are vitamin E homologs and, therefore, are considered beneficial in the prevention of different pathological conditions, acting as lipid-soluble antioxidants, antihypertensive, neuroprotective, hypolipidemic, antitumoral, and anti-inflammatory materials [6][50].
Despite their biological benefits, only two studies have reported the tocols’ composition in araticum fruits in the last decade (Table 1). The tocopherol isomers were quantified in the araticum seeds by high-performance liquid chromatography coupled with a fluorescence detector (HPLC-FLD), totalizing 138.90 mg/kg, namely α-tocopherol (12.02 mg/kg dw), β-tocopherol (3.30 mg/kg dw), γ-tocopherol (123.42 mg/kg dw), and δ-tocopherol (0.16 mg/kg dw) (Figure 7) [33]. Cardoso et al. [31] found two tocols in the pulp, with α-tocotrienol being the major tocol (332.94 μg/100 g) followed by α-tocopherol (163.11 μg/100 g), resulting in a total amount of 494.04 μg/100 g of tocols. The recommended daily intake of vitamin E is 15 mg. Therefore, neither the seeds nor the pulp can be considered a source of vitamin E. α-Tocopherol is the only one that meets human requirements for vitamin E, based on the concept that this form is the preferable retained form by the body, and reverses the symptoms of human deficiency. However, the other isomers may contribute to the liposoluble antioxidant function [49]. Thus, the higher content of the γ-tocopherol isomer in the seed oil and α-tocotrienol in the pulp could contribute significantly to this activity.
Figure 7. Chemical structures of the most common tocols found in araticum fruit. Own authorship created by ChemSketch software.

3. Concluding Remarks

The use of advanced analytical tools (e.g., HPLC, GC, MS, among others, and their combinations) has allowed the identification and quantification of several bioactive compounds in the araticum fruit over the last decade. Phenolic compounds have been the most studied and frequently reported class of bioactive compounds in the araticum fruit. However, other classes of bioactive compounds of interest have also been found in the different parts of this fruit, including alkaloids, annonaceous acetogenins, carotenoids, phytosterols, and tocols. The presence of these bioactive compounds can explain the biological effects of araticum fruit obtained from in vitro assays and animal trials, as well as its effectiveness in folk medicine, demonstrating its promising potential for drug development to treat/manage various pathological conditions.

References

  1. Arruda, H.S.; Fernandes, R.V.d.B.; Botrel, D.A.; de Almeida, M.E.F. Cerrado fruits: Knowledge and acceptance of Annona crassiflora Mart. (Araticum) and Eugenia dysenterica Mart. (Cagaita) for children using the senses of taste and vision. J. Health Biol. Sci. 2015, 3, 224–230.
  2. Cota, L.G.; Vieira, F.A.; Melo Júnior, A.F.; Brandão, M.M.; Santana, K.N.O.; Guedes, M.L.; Oliveira, D.A. Genetic diversity of Annona crassiflora (Annonaceae) in northern Minas Gerais State. Genet. Mol. Res. 2011, 10, 2172–2180.
  3. Da Silva, E.C.; Villa, F.; Da Silva, D.F.; Possenti, J.C.; Da Silva, L.S.; Ritter, G. Araticum accessions: Effect of gibberellic acid concentrations and soaking times on seed dormancy overcoming. Rev. Caatinga 2021, 34, 614–620.
  4. Palermo, A.C.; de Souza, A.M. Morphometric analysis of fruits and seeds of Annona crassiflora Mart. (Annonaceae) from central Brazil. Rev. Árvore 2019, 43, e430304.
  5. Vitorino, L.C.; Reis, M.N.O.; Bessa, L.A.; de Souza, U.J.B.; Silva, F.G. Landscape and Climate Influence the Patterns of Genetic Diversity and Inbreeding in Cerrado Plant Species. Diversity 2020, 12, 421.
  6. Arruda, H.S.; Pastore, G.M. Araticum (Annona crassiflora Mart.) as a source of nutrients and bioactive compounds for food and non-food purposes: A comprehensive review. Food Res. Int. 2019, 123, 450–480.
  7. Vilar, J.; Ferri, P.; Chen-Chen, L. Genotoxicity investigation of araticum (Annona crassiflora Mart., 1841, Annonaceae) using SOS-Inductest and Ames test. Braz. J. Biol. 2011, 71, 197–202.
  8. Cavéchia, L.A.; Proença, C.E.B. Resgate cultural de usos de plantas nativas do cerrado pela população tradicional da região do atual Distrito Federal. Heringeriana 2015, 1, 11–24.
  9. Arruda, H.S.; de Almeida, M.E.F. Frutos do Cerrado: Panorama, Resgate Cultural e Aproveitamento Culinário; Novas Edições Acadêmicas: Saarbrücken, Germany, 2015; ISBN 978-3-639-83794-0.
  10. Erzinger, G.S.; Lopes, P.C.; del Ciampo, L.F.; Zimath, S.C.; Vicente, D.; Martins de Albuquerque, F.; Prates, R.C. Bioactive compounds of hops resulting from the discarding of the beer industry in the control of pathogenic bacteria. In Natural Bioactive Compounds; Sinha, R.P., Häder, D.-P., Eds.; Academic Press: London, UK, 2021; pp. 41–55. ISBN 9780128206553.
  11. Walia, A.; Gupta, A.K.; Sharma, V. Role of Bioactive Compounds in Human Health. Acta Sci. Med. Sci. 2019, 3, 25–33.
  12. Stafussa, A.P.; Maciel, G.M.; Bortolini, D.G.; Maroldi, W.V.; Ribeiro, V.R.; Fachi, M.M.; Pontarolo, R.; Bach, F.; Pedro, A.C.; Haminiuk, C.W.I. Bioactivity and bioaccessibility of phenolic compounds from Brazilian fruit purees. Futur. Foods 2021, 4, 100066.
  13. Carvalho, N.C.C.; Monteiro, O.S.; da Rocha, C.Q.; Longato, G.B.; Smith, R.E.; da Silva, J.K.R.; Maia, J.G.S. Phytochemical Analysis of the Fruit Pulp Extracts from Annona crassiflora Mart. and Evaluation of Their Antioxidant and Antiproliferative Activities. Foods 2022, 11, 2079.
  14. Guimarães, A.C.G.; de Souza Gomes, M.; Zacaroni Lima, L.M.; Sales, P.F.; da Cunha, M.C.; Rodrigues, L.J.; de Barros, H.E.A.; Pires, C.R.F.; dos Santos, V.F.; Lima Natarelli, C.V.; et al. Application of Chemometric Techniques In The Evaluation of Bioactive Compounds and Antioxidant Activity of Fruit From Brazilian Cerrado. J. Food Meas. Charact. 2022, 1–12.
  15. Arruda, H.S.; Silva, E.K.; Pereira, G.A.; Angolini, C.F.F.; Eberlin, M.N.; Meireles, M.A.A.; Pastore, G.M. Effects of high-intensity ultrasound process parameters on the phenolic compounds recovery from araticum peel. Ultrason. Sonochem. 2019, 50, 82–95.
  16. Justino, A.B.; Pereira, M.N.; Vilela, D.D.; Peixoto, L.G.; Martins, M.M.; Teixeira, R.R.; Miranda, N.C.; da Silva, N.M.; de Sousa, R.M.F.; de Oliveira, A.; et al. Peel of araticum fruit (Annona crassiflora Mart.) as a source of antioxidant compounds with α-amylase, α-glucosidase and glycation inhibitory activities. Bioorg. Chem. 2016, 69, 167–182.
  17. Justino, A.B.; Franco, R.R.; Silva, H.C.G.; Saraiva, A.L.; Sousa, R.M.F.; Espindola, F.S. B procyanidins of Annona crassiflora fruit peel inhibited glycation, lipid peroxidation and protein-bound carbonyls, with protective effects on glycated catalase. Sci. Rep. 2019, 9, 19183.
  18. Ramos, L.P.A.; Justino, A.B.; Tavernelli, N.; Saraiva, A.L.; Franco, R.R.; de Souza, A.V.; Silva, H.C.G.; de Moura, F.B.R.; Botelho, F.V.; Espindola, F.S. Antioxidant compounds from Annona crassiflora fruit peel reduce lipid levels and oxidative damage and maintain the glutathione defense in hepatic tissue of Triton WR-1339-induced hyperlipidemic mice. Biomed. Pharmacother. 2021, 142, 112049.
  19. Menezes, E.G.T.; Oliveira, É.R.; Carvalho, G.R.; Guimarães, I.C.; Queiroz, F. Assessment of chemical, nutritional and bioactive properties of Annona crassiflora and Annona muricata wastes. Food Sci. Technol. 2019, 39, 662–672.
  20. Formagio, A.S.N.; Vieira, M.C.; Volobuff, C.R.F.; Silva, M.S.; Matos, A.I.; Cardoso, C.A.L.; Foglio, M.A.; Carvalho, J.E. In vitro biological screening of the anticholinesterase and antiproliferative activities of medicinal plants belonging to Annonaceae. Braz. J. Med. Biol. Res. 2015, 48, 308–315.
  21. Ramos, A.L.C.C.; Silva, M.R.; Mendonça, H.d.O.P.; Mazzinghy, A.C.d.C.; Silva, V.D.M.; Botelho, B.G.; Augusti, R.; Ferreira, R.M.d.S.B.; Sousa, I.M.N.d.; Batista-Santos, P.; et al. Use of pulp, peel, and seed of Annona crassiflora Mart. in elaborating extracts for fingerprint analysis using paper spray mass spectrometry. Food Res. Int. 2022, 160, 111687.
  22. Prado, L.G.; Arruda, H.S.; Peixoto Araujo, N.M.; de Oliveira Braga, L.E.; Banzato, T.P.; Pereira, G.A.; Figueiredo, M.C.; Ruiz, A.L.T.G.; Eberlin, M.N.; de Carvalho, J.E.; et al. Antioxidant, antiproliferative and healing properties of araticum (Annona crassiflora Mart.) peel and seed. Food Res. Int. 2020, 133, 109168.
  23. Ramos, A.L.C.C.; Minighin, E.C.; Soares, I.I.C.; Ferreira, R.M.d.S.B.; Sousa, I.M.N.d.; Augusti, R.; Labanca, R.A.; Araújo, R.L.B.d.; Melo, J.O.F. Evaluation of the total phenolic content, antioxidative capacity, and chemical fingerprint of Annona crassiflora Mart. bioaccessible molecules. Food Res. Int. 2023, 165, 112514.
  24. Arruda, H.S.; Pereira, G.A.; de Morais, D.R.; Eberlin, M.N.; Pastore, G.M. Determination of free, esterified, glycosylated and insoluble-bound phenolics composition in the edible part of araticum fruit (Annona crassiflora Mart.) and its by-products by HPLC-ESI-MS/MS. Food Chem. 2018, 245, 738–749.
  25. Barbosa, M.F.; Justino, A.B.; Martins, M.M.; Belaz, K.R.A.; Ferreira, F.B.; Junio de Oliveira, R.; Danuello, A.; Espindola, F.S.; Pivatto, M. Cholinesterase inhibitors assessment of aporphine alkaloids from Annona crassiflora and molecular docking studies. Bioorg. Chem. 2022, 120, 105593.
  26. Santos, P.D.; Vieira, T.N.; Gontijo Couto, A.C.; Mesquita Luiz, J.P.; Lopes Saraiva, A.L.; Borges Linhares, C.R.; Barbosa, M.F.; Justino, A.B.; Franco, R.R.; da Silva Brum, E.; et al. Stephalagine, an aporphinic alkaloid with therapeutic effects in acute gout arthritis in mice. J. Ethnopharmacol. 2022, 293, 115291.
  27. Justino, A.B.; Barbosa, M.F.; Neves, T.V.; Silva, H.C.G.; Brum, E.d.S.; Fialho, M.F.P.; Couto, A.C.; Saraiva, A.L.; Avila, V.d.M.R.; Oliveira, S.M.; et al. Stephalagine, an aporphine alkaloid from Annona crassiflora fruit peel, induces antinociceptive effects by TRPA1 and TRPV1 channels modulation in mice. Bioorg. Chem. 2020, 96, 103562.
  28. Pereira, M.N.; Justino, A.B.; Martins, M.M.; Peixoto, L.G.; Vilela, D.D.; Santos, P.S.; Teixeira, T.L.; da Silva, C.V.; Goulart, L.R.; Pivatto, M.; et al. Stephalagine, an alkaloid with pancreatic lipase inhibitory activity isolated from the fruit peel of Annona crassiflora Mart. Ind. Crops Prod. 2017, 97, 324–329.
  29. Justino, A.B.; Florentino, R.M.; França, A.; Filho, A.C.M.L.; Franco, R.R.; Saraiva, A.L.; Fonseca, M.C.; Leite, M.F.; Salmen Espindola, F. Alkaloid and acetogenin-rich fraction from Annona crassiflora fruit peel inhibits proliferation and migration of human liver cancer HepG2 cells. PLoS ONE 2021, 16, e0250394.
  30. Tran, K.; Ryan, S.; McDonald, M.; Thomas, A.L.; Maia, J.G.S.; Smith, R.E. Annonacin and Squamocin Contents of Pawpaw (Asimina triloba) and Marolo (Annona crassiflora) Fruits and Atemoya (A. squamosa × A. cherimola) Seeds. Biol. Trace Elem. Res. 2021, 199, 2320–2329.
  31. Cardoso, L.d.M.; Oliveira, D.d.S.; Bedetti, S.d.F.; Martino, H.S.D.; Pinheiro-Sant’Ana, H.M. Araticum (Annona crassiflora Mart.) from the Brazilian Cerrado: Chemical composition and bioactive compounds. Fruits 2013, 68, 121–134.
  32. Silva, L.L.; Cardoso, L.d.M.; Pinheiro-Sant’Ana, H.M. Influência do branqueamento, pasteurização e congelamento nas características físico-químicas e carotenoides de polpa de araticum. Bol. Cent. Pesqui. Process. Aliment. 2015, 33, 49–59.
  33. Luzia, D.M.M.; Jorge, N. Bioactive substance contents and antioxidant capacity of the lipid fraction of Annona crassiflora Mart. seeds. Ind. Crops Prod. 2013, 42, 231–235.
  34. Arruda, H.S.; Araújo, M.V.L.; Marostica Junior, M.R. Underexploited Brazilian Cerrado fruits as sources of phenolic compounds for diseases management: A review. Food Chem. Mol. Sci. 2022, 5, 100148.
  35. Borsoi, F.T.; Neri-Numa, I.A.; de Oliveira, W.Q.; de Araújo, F.F.; Pastore, G.M. Dietary polyphenols and their relationship to the modulation of non-communicable chronic diseases and epigenetic mechanisms: A mini-review. Food Chem. Mol. Sci. 2023, 6, 100155.
  36. Arruda, H.S.; Pereira, G.A.; Pastore, G.M. Optimization of Extraction Parameters of Total Phenolics from Annona crassiflora Mart. (Araticum) Fruits Using Response Surface Methodology. Food Anal. Methods 2017, 10, 100–110.
  37. Anaya-Esparza, L.M.; García-Magaña, M.d.L.; Abraham Domínguez-Ávila, J.; Yahia, E.M.; Salazar-López, N.J.; González-Aguilar, G.A.; Montalvo-González, E. Annonas: Underutilized species as a potential source of bioactive compounds. Food Res. Int. 2020, 138, 109775.
  38. Bhambhani, S.; Kondhare, K.R.; Giri, A.P. Diversity in Chemical Structures and Biological Properties of Plant Alkaloids. Molecules 2021, 26, 3374.
  39. Rajput, A.; Sharma, R.; Bharti, R. Pharmacological activities and toxicities of alkaloids on human health. Mater. Today Proc. 2022, 48, 1407–1415.
  40. Debnath, B.; Singh, W.S.; Das, M.; Goswami, S.; Singh, M.K.; Maiti, D.; Manna, K. Role of plant alkaloids on human health: A review of biological activities. Mater. Today Chem. 2018, 9, 56–72.
  41. Durán, A.G.; Gutiérrez, M.T.; Mejías, F.J.R.; Molinillo, J.M.G.; Macías, F.A. An Overview of the Chemical Characteristics, Bioactivity and Achievements Regarding the Therapeutic Usage of Acetogenins from Annona cherimola Mill. Molecules 2021, 26, 2926.
  42. Neske, A.; Ruiz Hidalgo, J.; Cabedo, N.; Cortes, D. Acetogenins from Annonaceae family. Their potential biological applications. Phytochemistry 2020, 174, 112332.
  43. Lima, N.N.d.C.; Faustino, D.C.; Allahdadi, K.J.; França, L.S.d.A.; Pinto, L.C. Acetogenins from Annonaceae plants: Potent antitumor and neurotoxic compounds. PharmaNutrition 2022, 20, 100295.
  44. Neri-Numa, I.A.; Arruda, H.S.; Geraldi, M.V.; Maróstica Júnior, M.R.; Pastore, G.M. Natural prebiotic carbohydrates, carotenoids and flavonoids as ingredients in food systems. Curr. Opin. Food Sci. 2020, 33, 98–107.
  45. Rodriguez-Amaya, D.B. Update on natural food pigments—A mini-review on carotenoids, anthocyanins, and betalains. Food Res. Int. 2019, 124, 200–205.
  46. Arruda, H.S.; Geraldi, M.V.; Cedran, M.F.; Bicas, J.L.; Marostica Junior, M.R.; Pastore, G.M. Prebiotics and probiotics. In Bioactive Food Components Activity in Mechanistic Approach; Cazarin, C.B.B., Bicas, J.L., Pastore, G.M., Marostica Junior, M.R., Eds.; Academic Press: London, UK, 2022; pp. 55–118.
  47. do Nascimento Silva, N.R.R.; Cavalcante, R.B.M.; da Silva, F.A. Nutritional properties of Buriti (Mauritia flexuosa) and health benefits. J. Food Compos. Anal. 2023, 117, 105092.
  48. Zhang, X.; Wang, J.; Zhu, L.; Wang, X.; Meng, F.; Xia, L.; Zhang, H. Advances in Stigmasterol on its anti-tumor effect and mechanism of action. Front. Oncol. 2022, 12, 1101289.
  49. Traber, M.G.; Head, B. Vitamin E: How much is enough, too much and why! Free Radic. Biol. Med. 2021, 177, 212–225.
  50. Durazzo, A.; Nazhand, A.; Lucarini, M.; Delgado, A.M.; De Wit, M.; Nyam, K.L.; Santini, A.; Fawzy Ramadan, M. Occurrence of Tocols in Foods: An Updated Shot of Current Databases. J. Food Qual. 2021, 2021, 8857571.
More
Upload a video for this entry
Information
Contributors MDPI registered users' name will be linked to their SciProfiles pages. To register with us, please refer to https://encyclopedia.pub/register : Henrique Silvano Arruda , Felipe Tecchio Borsoi , Amanda Cristina Andrade , Glaucia Maria Pastore , Mario Roberto Marostica Junior
View Times: 1.0K
Revisions: 2 times (View History)
Update Date: 20 Apr 2023
Notice
You are not a member of the advisory board for this topic. If you want to update advisory board member profile, please contact office@encyclopedia.pub.
OK
Confirm
Only members of the Encyclopedia advisory board for this topic are allowed to note entries. Would you like to become an advisory board member of the Encyclopedia?
Yes
No
${ textCharacter }/${ maxCharacter }
Submit
Cancel
There is no comment~
${ textCharacter }/${ maxCharacter }
Submit
Cancel
${ selectedItem.replyTextCharacter }/${ selectedItem.replyMaxCharacter }
Submit
Cancel
Confirm
Are you sure to Delete?
Yes No
Academic Video Service

Quick Survey

Encyclopedia MDPI is conducting a targeted survey to identify the specific barriers hindering efficient research. We invite you to spend 3 minutes defining the priorities for our next generation of structured knowledge tools.
Take Survey