Your browser does not fully support modern features. Please upgrade for a smoother experience.
Submitted Successfully!
Thank you for your contribution! You can also upload a video entry or images related to this topic. For video creation, please contact our Academic Video Service.
Version Summary Created by Modification Content Size Created at Operation
1 Koushik Dey + 4924 word(s) 4924 2021-05-07 09:42:37 |
2 format change Lily Guo Meta information modification 4924 2021-05-19 08:05:28 | |
3 format change Lily Guo Meta information modification 4924 2021-05-20 04:45:18 | |
4 format change Lily Guo Meta information modification 4924 2021-05-20 04:54:49 |

Video Upload Options

We provide professional Academic Video Service to translate complex research into visually appealing presentations. Would you like to try it?
Cite
If you have any further questions, please contact Encyclopedia Editorial Office.
Dey, K. Polymeric Biomaterials and Lubricants. Encyclopedia. Available online: https://encyclopedia.pub/entry/9822 (accessed on 10 February 2026).
Dey K. Polymeric Biomaterials and Lubricants. Encyclopedia. Available at: https://encyclopedia.pub/entry/9822. Accessed February 10, 2026.
Dey, Koushik. "Polymeric Biomaterials and Lubricants" Encyclopedia, https://encyclopedia.pub/entry/9822 (accessed February 10, 2026).
Dey, K. (2021, May 19). Polymeric Biomaterials and Lubricants. In Encyclopedia. https://encyclopedia.pub/entry/9822
Dey, Koushik. "Polymeric Biomaterials and Lubricants." Encyclopedia. Web. 19 May, 2021.
Polymeric Biomaterials and Lubricants
Edit

With increasing environmental concerns and the depletion of petroleum resources, the development of lubricant additives from bioresources has attracted much attention recently. In this entry, a few polymers and polymer composites are reported, which are synthesized from vegetable oils (soybean oil, sunflower oil, rice bran oil, and castor oil) and used as multifunctional additives in the formulation of eco-friendly lubricant compositions. We mentioned the preparation of vegetable oil-based homo- and copolymers and their characterization by different spectral techniques (FTIR/NMR). 

Polymeric Biomaterials Lubricants

1. Introduction

The synthesis of different polymeric materials from bioresources and their application in diverse fields is a timely area of research because of several environmental impacts of commercially available nonbiodegradable polymers. Vegetable oil (VO), due to its biodegradability, low ecotoxicity, and renewability, can be used as an excellent starting material to prepare different polymeric compounds as an alternative to synthetic petroleum-based polymers in different sectors [1][2][3][4]. The application of biopolymers has been explored in different industrial sectors and products such as paints, coatings, ink resins, lubricants, and others. Good lubrication in internal combustion engines is essential to prevent energy loss, lengthen the lifetime of engines, and reduce environmental pollution. Lubricating oils are unable to meet all the requirements of modern engines, so it is essential to optimize the performance of lubricants by combining them with suitable additive packages. Additives, needed only in tiny amounts, have a very important role in improving some basic performances of lubricants such as antiwear, pour point, viscosity index, thermo-oxidative stability, etc. [5][6][7]. Commercially available synthetic additives prepared from fossil fuel resources (e.g., acrylate-based polymers, polycaprolactones [PCL], polyesteramides [PEA], aliphatic copolyester, ZDDP), although cheaper than biopolymers, are extremely harmful to the biosphere. They are ecotoxic and not readily biodegradable. The environmental hazards of the ZDDP additive have been well-studied in vertebrate and invertebrate species. They are considered to be toxic to aquatic wildlife with long-lasting effects. ZDDP contains sulfur, phosphorus, and zinc, which produce harmful emissions from engines during the tribo-chemical process [8]. An additive like ZDDP does not work well under extreme conditions of pressure and temperature. Bioadditives prepared from biooils/bioresources have the advantage over petroleum-based additives because of their eco-friendly character, multifunctional behavior, and superior tribological properties [9][10].
Vegetable oil triglycerides contain long-chain fatty acids (14–22 carbons chain) with varying levels of unsaturation (Figure 1). Most vegetable oils have separate regions of nonpolar and polar groups in the same molecule. Due to the presence of polar groups, vegetable oils are amphiphilic and therefore can be used as an excellent resource to prepare both boundary and hydrodynamic lubricants [11][12]. They have many promising natural properties including good lubricity, good resistance to shear, a high flash point, a high viscosity index, and a low evaporative loss over mineral oils [13][14][15]. Therefore, the application of vegetable oils as feedstock to prepare bioadditives is compelling and has come into focus recently. However, because of a few shortcomings such as a high price, poor fluidity at cold temperatures, and low thermal and oxidation stability, mainly due to structural “double bond” elements in the fatty acid part and the “β-CH group” of the alcoholic components, raw vegetable oils cannot be used as a base stock/additive in lubricants [16]. This problem can be mitigated by chemically modifying vegetable oil before its application as lubricants (base stocks/additives). Among the several methods of chemical derivations [17][18][19][20], polymerization is an easy and economic synthetic technique that removes the olefinic bonds of VO/fatty esters and mitigates the shortcomings of their application by improving thermo-oxidative stability [20][21].
Figure 1. General structure of triglyceride esters of edible vegetable oils.
The vegetable oils/derivatives having a higher percentage of unsaturation are subjected to polymerization in different modes such as free radical, cationic, olefin metathesis, condensation polymerization, and recently, atom transfers radical polymerization (ATRP) to prepare materials with excellent additive performances [20][22]. The morphology and therefore performance of the additive are also dependent on the polymerization method used. Free radical polymerization is very effective in preparing polymeric additives that have better performances and therefore is mostly used to prepare lubricant additives [22][23]. In the polymerization, VO, VO-derived fatty acids/esters, or VO mixed with other materials can be used as monomers [20][22][23][24].
Most of the research is directed towards the synthesis of biolubricants by blending nonbiodegradable additives with chemically modified vegetable oils [25][26]. Yet, the formulation will be expensive since modified vegetable oils are costly compared to petroleum base stocks, and their abundance is insufficient to meet the present demand for lubricants worldwide. The blending of bioadditives from vegetable oils with mineral base stocks is currently a cost-effective and environmentally benign formulation of green lubricants. The lubricants additized with polymeric biomaterials showed an excellent tribological performance and improved the viscosity index properties and biodegradability [22][23][24][27][28][29]. The homopolymerization of functionalized triglyceride esters, free fatty acid esters of vegetable oils, or their copolymerization with suitable monomers produces biopolymers with improved additive performances and thermophysical and thermomechanical properties that have a wider range of applicability [29][30][31].
Our earlier publications mentioned the application of soybean oil, sunflower oil, castor oil, rice bran oil, palm oil, and olive oil-based polymers as multifunctional and thermally stable additives for mineral oil-based lubricants [24][27][28][29][32][33][34]. Biresaw et al. [35] discussed the application of biobased polyesters as an extreme pressure additive in mineral (150 N) and refined soybean base oils. The use of poly (hydroxy thioether) vegetable oil derivatives as antiwear/antifriction additives for eco-friendly lubricants has been described by Erhan et al. in U.S. Patent 7,279,448 B2 (2007) [36]. Landis [37] reported on the synthesis and evaluation of telomerized vegetable oil, sulfurized and phosphorus derivatives of telomerized vegetable oils, and combinations thereof for use as thermal-oxidative stability enhancers and viscosity improvers. Telomerization induces vegetable oil that contains no more than 4% polyunsaturated fatty acids to help enhance its thermo-oxidative stability. Recently, Nasser et al. [38] reported about the performance of the homopolymer of jojoba oil and its copolymers with different alkyl acrylates and α-olefins as additives in lubricating oil and found amazing results.
Polymer nanocomposites have excellent wear resistance characteristics when coated on machinery parts/other materials. There are several examples of tribological performances of polymer composites. The composites of ultrahigh molecular weight polyethylene (UHMWPE) have been used as coatings to modify the surfaces of different components to protect them from wear and corrosion [39]. The composite of UHMWPE reinforced with carbon nanotube (CNT) was found as effective boundary lubricants and reduce or eliminate the usage of harmful additives in the lubricating oils. These coatings have found their way into applications ranging from microelectromechanical systems (MEMS) to demanding tribological applications such as bearings and biomedical applications [40]. The polymer composites based on vegetable oils prepared by incorporating different organic or inorganic filler particles (e.g., silica, carbon nanotubes, clay platelets, etc.) are also widely applied in different sectors such as the automotive industry [41][42], medicine [43], coating technology [44], food industry [45], preparation of printing inks [46], agrochemicals [47], aerospace [48], and more. These are used as additives to improve the tribological performances of lubricants.
Scheme 1. Pictorial representation of the overall work.

2. Polymerization of Different Vegetable Oils/Derivatives, Their Characterization, and Application as Lubricant Additives

Polymerization is a unique technique through which the reactive olefinic bonds of VO/derivatives are involved, and therefore the oxidative stability and cold flow properties of the oils are improved. The homopolymerization of VO/derivatives or their copolymerization with suitable monomers can be performed in different ways, as mentioned above. Here, we have discussed the polymers/composites synthesized via the free radical polymerization pathway. Homopolymers of vegetable oil and their copolymers with different functional molecules (alkyl acrylates, long-chain alkenes, styrene) were prepared by thermal/microwave methods using radical initiators like azobisisobutyronitrile (AIBN), benzoyl peroxide (BZP) [24][28]. The characterizations were performed by different spectral (FTIR/NMR) techniques. The average molecular weights were determined by GPC. The characterization data (FTIR, NMR, GPC) of some polymers are mentioned in Table 1. The individual descriptions of the different vegetable oil-based polymers as lubricant additives are depicted below.
Table 1. Characterization data of different vegetable oil-based polymers.
The IR and 1HNMR absorption peaks in the range 1732–1745 cm−1 and 4.031–4.9 ppm, respectively in Table 1 indicated the presence of ester carbonyl groups of the polymers. The C-O stretching vibrations of ester carbonyl groups of all the polymers appeared within the range 1051–1270 cm−1. The presence of the methylene and methyl groups of the fatty acid chains is also proved by the respective IR and 1HNMR absorption peaks in Table 1. The GPC data in the above table gives some idea about the average molecular weights of the biobased polymers. The values of the average molecular weight depend on the degree of polymerization, cross-linking of the monomers/unsaturated fatty esters, and the average size of polymer molecules. These further depend upon several factors such as the degree of unsaturation of different vegetable oils, the type of monomers (in case of copolymerization), and the methods and conditions applied on polymerization (time, ratio of monomers, initiators, temperature, etc.). The homopolymer of vegetable oils like SBO, SFO containing a higher percentage of unsaturation showed comparatively higher average molecular weights. When acrylate chains are introduced in the backbone of triglyceride esters of vegetable oils, the average molecular weights are increased due to a higher degree of polymerization which is reflected on their VI values, also mentioned later. Terpolymers have a comparatively low value of the average molecular weight, probably due to a shorter chain length of each polymer unit.

2.1. Polymers of Soybean Oil/Derivatives

After palm oil, soybean oil (SBO) is the second most abundant vegetable oil with a production of around 50 million metric tons of the 209.14 million metric tons of all vegetable oils produced in 2020–2021, according to statistical reports. The United States occupied the second position in the production of soybean oil after China. The unsaturation in SBO is around 85%, which makes it suitable for producing different polymeric additives. In our previous work, the homopolymer of soybean oil and its copolymers with different monomers, such as methyl acrylate (MA), 1-decene, and styrene, at different percentage levels have been synthesized by a thermal method using azobisisobutyronitrile (AIBN) as a radical initiator [24]. All the polymers showed excellent multifunctional performances as additives in lubricants. The viscosity index (VI), antiwear, and pour point (PP) properties of the base fluids were enhanced significantly by the addition of these additives. Polymerization increased the thermo-oxidative stability of soybean oil also. Table 2 shows the VI and PP values of lubricant compositions blended with additives at different percentages.
Table 2. Viscosity index and pour point values of lubricants with additives at different concentrations [24].
The data indicated that the VI values of the base oils blended with additives are higher compared to those without additives. The results also showed that the VI values gradually increase with an increase in the additive concentration of the base fluids. The homopolymer of SBO showed excellent results. The incorporation of styrene and 1-decene to SBO enhanced the VI values, whereas copolymers of SBO with MA (S-2 and S-3) showed the least VI value. Moreover, it was found that all the polymers have much higher VI values compared to commercially available acrylate-based or olefin polymers. The pour point value of the copolymer of soybean oil with MA exhibited a better pour point depressant (PPD) performance compared to the others. The soy-acrylate copolymers, due to their more polar nature, fight better against the formation of wax crystals and therefore show higher pour point values that are comparable with those of commercially available polymethacrylates.
The tribological properties in terms of wear scar diameter (WSD) and COF (coefficient of friction) of the lubricant compositions prepared by blending the polymers at different concentrations in SN1 oil were determined by a four-ball wear test apparatus (FBWT) at 392 N applied load. Figure 2 and Figure 3 showed the WSD and COF values of the lubricants with different percentages of additives. As indicated by the figures, the copolymers of SBO with MA and 1-decene perform better as antiwear additives. With increasing additive concentrations, both the WSD and COF decrease. S-2 showed the highest reduction of the WSD in the SN1 base oil at a 0.05 mass fraction (41.8%), whereas the homopolymer of SBO was minimal (26.8%).
Figure 2. Wear scar diameter (WSD) in mm of the base oil (SN1) blended with the additives in different mass fractions (reproduced with permission from ref. [24], Copyright 2015 American Chemical Society).
Figure 3. Coefficient of friction (COF) values of the SN1 base fluid blended with additives in different mass fractions (reproduced with permission from ref. [24], Copyright 2015 American Chemical Society).
In another study, a homopolymer of SBO and its copolymers with MA and methyl methacrylate (MMA) as a multifunctional additive for lubricating oil was synthesized by the atom transfer radical polymerization (ATRP) method [22]. Polymerization was carried out at 90 °C with microwave irradiation (MI) using anhydrous FeCl3 as a catalyst, diethylenetriamine (DETA) as a ligand, AIBN as the initiator, toluene as a solvent, and metallic Fe as the reducing agent. The characterization of the prepared polymers was performed by spectral (NMR, IR) and gel permeation chromatography (GPC) analysis. The evaluations of the polymers regarding their antiwear (AW) pour point depressant (PPD), and viscosity modifier/viscosity index improver (VII) performances in different mineral base oils were done by using the standard ASTM methods. The biodegradability test of the polymers was carried out by the soil burial test (SBT) method. The addition of these newly developed biodegradable additives to mineral base stocks enhances the lubricant properties significantly. The control of polymerization through ATRP and the eco-friendly microwave irradiation process produces polymers with excellent PPD, VII, and antiwear performances. Significant enhancement of the VI and PP performances was observed by incorporating acrylates (MA and MMA) in the triglyceride backbone of soybean oil, as depicted in Table 3. The antiwear performance of the lubricants was carried out by applying a weld load of 392 N (40 kg) at 75 °C for 60 min. The diameter and rotating speed of the ball were 12.7 mm and 1200 rpm, respectively. Figure 4 and Figure 5 depicted the WSD and COF values of the formulated lubricants with different percentages of additives in mineral base oil (SN70), respectively.
Figure 4. WSD (mm) values of SN70 base oil blended with additives in different mass fractions (reproduced with permission from ref. [22], Copyright 2016 American Chemical Society).
Figure 5. Coefficient of friction of SN70 base oil blended with the additives in different mass fractions (reproduced with permission from ref. [22], Copyright 2016 American Chemical Society).
Table 3. Viscosity index (VI) and pour point values of the base oils blended with the additives at different concentrations [22].
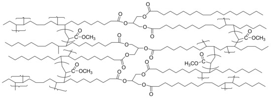
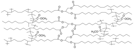
The tentative structures of the copolymers of SBO with MA and MMA are shown in Figure 6 and Figure 7, respectively.
Figure 6. Tentative structure of copolymer of SBO and MA.
Figure 7. Tentative structure of copolymer of SBO and MMA.

2.2. Polymers of Sunflower Oil/Derivatives

The homopolymer of sunflower oil (SFO) and its copolymerization with different mass fractions (5% and 10%) of methyl methacrylate (MMA), decyl acrylate (DA), and styrene have been carried out using the free radical technique [49]. Their characterization and performance evaluation as a pour point depressant in base oils have been investigated. The findings showed that the thermal stability of the sunflower oil-based polymers is enhanced due to the incorporation of monomers (MMA, DA, and styrene) in the backbone of the sunflower oil. The pour points of the copolymer blended base oils are better than those of the homopolymer of sunflower oil (Table 4).
Table 4. Pour point values of the lubricant compositions [49].
In another study, homopolymers of SFO prepared by microwave irradiation and thermal methods using BZP as an initiator and without any solvent were used as a multifunctional additive in mineral base oil-based lubricants [28]. The homopolymer prepared by the microwave-assisted method showed better performance particularly as a viscosity index improver, pour point depressant, and antiwear additive, compared to the thermally prepared homopolymer. The viscosity index value and the WSD data of both the SFO polymer are depicted in Figure 8 and Figure 9, respectively. Moreover, the polymers showed significant biodegradability.
Figure 8. VI values of the two additive doped base oils (BO1 and BO2) at different concentrations (%w/w). [homopolymers SFO in thermal (P-1) and microwave method (P-2)] (reproduced with permission from ref. [28], Copyright 2014 Springer Nature).
Figure 9. Antiwear performance of the additive doped base oils (BO1 and BO2) evaluated as wear scar diameter (mm) (reproduced with permission from ref. [28], Copyright 2014 Springer Nature).
The copolymers of SFO with methyl methacrylate and decyl acrylate at different percentages were successfully used as a viscosity index improver in three different types of mineral base stocks [50]. In this study, a comparison of the VI performances of the SFO-based polymers with acrylate-based nonbiodegradable polymers was carried out. The results showed that biopolymeric additives have enhanced VI performances in all the base stocks compared to acrylate-based polymers in all concentrations. The VI data are given in Table 5.
Table 5. Viscosity index data of lubricants with synthesized additives [50].
SFO-based terpolymers prepared by mixing an alkyl acrylate (octyl/decyl/dodecyl) with SFO and styrene in different ratios through free radical polymerization showed multifunctional performances like viscosity index improver (VII), pour point depressant (PPD), and antiwear when blended in different mineral base oils [29]. The image of the work is given in Scheme 2. In this work, three terpolymers have been prepared by blending octyl acrylate (OA), SFO, and styrene at different weight ratios (1:1:1,3:1:1, and 2:1:1) separately to get three polymers designated by A, B, and C, respectively. Another two polymers consisting of different alkyl acrylates [decyl acrylate (DA) and dodecyl acrylate, (DDA)], SFO, and styrene at the ratio of 2:1:1 (w/w) have also been prepared, which are designated by D and E, respectively. The investigation disclosed that an effective terpolymeric additive was formed when the ratio of acrylate, sunflower oil, and styrene was 2:1:1. The viscosity index values and pour point values are depicted in Figure 10 and Figure 11, respectively. The antiwear properties in terms of WSD were evaluated by FBWT following the ASTM D 4172-94 method. In this experiment, 392 N (40 kg) load at 75 °C for 60 min was applied. The WSD data of all the terpolymers are given in Table 6. The results indicated that when increasing the alkyl chain length, the tribological and VI performances of the prepared terpolymers increased, whereas the PPD performance decreased.
Scheme 2. A probable structure of the terpolymer.
Figure 10. Variation of viscosity index (VI) of the base oils (BO1 and BO2) blended with the polymers at different concentration levels (% in w/w) (reproduced with permission from ref. [29], Copyright 2016 Springer Nature).
Figure 11. Variation of pour point of the base oils (BO1 and BO2) blended with additives at different concentration levels (% in w/w) (reproduced with permission from ref. [29], Copyright 2016 Springer Nature).
Table 6. Antiwear property in terms of wear scar diameter (WSD) values (in mm) of different lubricant compositions [29].

2.3. Polymers of Castor Oil/Derivatives

Castor oil, which is nonedible and contains a higher percentage of triacylglycerols of ricinoleic acid (85–95%), can be used as an excellent potential feedstock to prepare a wide variety of materials such as biolubricants (base stock/additive), paints, adhesives, pharmaceuticals, cosmetics, paper, rubber, and agrochemicals [51][52][53][54]. The oil’s polar functional groups make it efficient to prepare lubricant additives, especially for antiwear and PPD performances. In our earlier studies, the homopolymer of castor oil and its copolymers with dodecyl acrylate (DDA) at different percentage levels (5, 10, 15, 20, and 25%) were synthesized by a free radical technique, and the additive performances (VII, PPD, antiwear) were evaluated by blending them with mineral base stocks [55]. The viscosity index and pour point values of polymer samples are depicted in Figure 12 and Figure 13. Tribological performance was evaluated by FBWT apparatus applying 392 N weld load. The COF and WSD data of the polymer samples are depicted in Figure 14 and Figure 15, respectively. The biodegradability test of all the polymer samples was carried out through the soil burial test (SBT). The findings showed that the pour points, viscosity index, tribological performances, and biodegradability of the lubricants were enhanced significantly when these additives were blended, and the castor oil–dodecyl acrylate copolymer exhibited better performances compared to the other polymers.
Figure 12. Variation of viscosity index of base oils blended with additives at different concentrations. P-1: Homopolymer of DA; P-2: Copolymer of DA + 5% CO; P-3: Copolymer of DA + 10% CO; P-4: Copolymer of DA + 15% CO; P-5: Copolymer of DA + 20% CO; P-6: Copolymer of DA + 25% CO; P-7: Homopolymer of CO (reproduced with permission from ref. [55], Copyright 2016 Springer Nature).
Figure 13. Pour points of the lubricant at different additive concentration levels (reproduced with permission from ref. [55], Copyright 2016 Springer Nature).
Figure 14. Coefficient of friction (COF) of the lube oil blended with additives at different percentages (w/w) (reproduced with permission from ref. [55], Copyright 2016 Springer Nature).
Figure 15. Wear scar diameter (WSD) of the lube oil blended with additives at different percentages (w/w) (reproduced with permission from ref. [55], Copyright 2016 Springer Nature).
In another experiment, the additive performance of the homopolymer of castor oil (CO) and its four copolymers with methyl methacrylate (MMA), dodecyl acrylate (DDA), 1- decene (1-D), and styrene (ST) with 10% (w/w) of each have been investigated [27]. The results obtained are mentioned in Table 7. In this study PPD, VII, and tribological performances of the lubricants with these additives at different percentages have been carried out by standard ASTM methods. The SBT method was used to test the biodegradability of the polymers. The copolymers have a better performance compared to homopolymers. The castor–ST copolymer exhibited higher VI, followed by castor–MMA copolymers. The acrylate copolymers are more effective as PPDs and antiwear additives due to their polar ends.
Table 7. Performance of lubricants at different additive concentrations [27].

2.4. Rice Bran Oil-Based Polymer

Polymers of rice bran oil (RBO) have also been used as a lubricant additive with effective performances. Copolymers of RBO with 1-decene and decyl acrylate (DA) were prepared and effectively added as a PPD and VII in lubricating oils [56]. The values of the VII and PPD are given in Table 8. In this work, rice bran oil–DA and rice bran oil-1-decene copolymers were prepared by blending different concentrations of DA and 1-decene (10%, 20%, and 30% [w/w]) in rice bran oil. RBO + DA copolymers are more efficient compared to RBO + 1-decene copolymers as a pour point depressant and a viscosity modifier. All the polymers showed significant biodegradability.
Table 8. Viscosity index and pour point data of the lubricants with additives at different concentrations [56].
The biobased polymers synthesized by copolymerization of RBO, peanut oil (PO), and β pinene individually with isodecyl acrylate (IDA) in 5% and 10% (w/w) ratio performed as VII, PPD, and AW additives in mineral oils (SN1 and SN2) [32]. All the copolymers exhibited better PPD, VII, and tribological performances compared to the homopolymers. The viscosity index and pour point values of all the polymer samples are depicted in Figure 16, Figure 17, Figure 18 and Figure 19, respectively. The coefficient of friction (COF) data is given in Figure 20. The copolymers of RBO have higher VI values, whereas the copolymers of PO were found to be most effective as a pour point depressant. In the biodegradability test, the copolymers with higher vegetable oil/β-pinene content showed greater degradation in experimental conditions.
Figure 16. Viscosity index data of SN1 base oil blended with the polymers. P-1: homo polyisodecyl acrylate; P-2: 5% Rice bran oil + IDA; P-3: 10% Rice bran oil + IDA; P-4: 5% Peanut oil + IDA; P-5: 10% Peanut oil + IDA; P-6: 5% β -Pinene + IDA; P-7: 10% β -Pinene + IDA.
Figure 17. Viscosity index data of SN2 base oil blended with the polymers.
Figure 18. Pour point values of SN1 oil blended with the polymers.
Figure 19. Pour point values of SN2 oil blended with the polymers.
Figure 20. Coefficient of friction (COF) of SN1 base oil blended with the polymeric additives at different concentration levels applying 392 N weld load (reproduced from ref. [32], copyright 2017 John Wiley and Sons).

2.5. Olive Oil-Based Polymers

Olive oil is another potential candidate for preparing bioadditives. Being cheaper and having a higher percentage (about 86%) of active unsaturation, the homopolymers and copolymers of olive oil have been found to have a positive impact on lubricant performances. Copolymers of isodecyl acrylate (IDA) with olive oil, prepared by free radical pathways, were investigated as a pour point depressant (PPD) and a viscosity modifier/viscosity index improver (VII) in different base oils (mineral) by standard ASTM methods [33]. In this study, four different copolymers of olive oil and IDA were prepared with varying olive oil concentrations in the mass (2.5, 5, 7.5, and 10%). The biodegradability test (SBT method) and thermal stability (TGA analysis) of the copolymers have also been investigated. The copolymer with increased olive oil content was found to be thermally more stable and showed the best performance as PPD and VII among all the copolymers. Saha et al. evaluated the performances of lubricants additized with copolymers of olive oil and dodecyl methacrylate (DDMA) [57]. They synthesized four different copolymers of DDMA and olive oil with varying olive oil concentrations in the mass (2%, 4%, 6%, and 8%) in a focused monomode microwave oven using BZP as radical initiator. The properties, mainly viscosity indices and pour points of the lubricant compositions, have been extensively analyzed by ASTM methods. The copolymers with a higher content of olive oil indicated a higher VI and lower pour points.

2.6. Almond Oil-Based Polymers

In another study, the additive performances of almond oil-based polymers [58] have been disclosed. The homopolymer of almond oil and its copolymers with decyl acrylate in two different concentrations (5 and 10%, (w/w)) were prepared, and their additive performances were evaluated.
The additive performances were improved due to the incorporation of an acrylate monomer in the triglyceride backbone of almond oil.

2.7. Palm Oil-Based Polymers

The homopolymer of palm oil and its copolymers with decyl acrylate at different concentrations were evaluated as PPD and VII in mineral lubricants by standard ASTM methods. All the polymers showed excellent additive performances with significant biodegradability [34]. Liew et al. disclosed the application of palm oil methyl ester (POME) as a friction-reducing additive for mineral base oil [59]. Table 9 showed the wear scar diameter data of the base oil blended with POME at two different concentrations. It was further confirmed from the data that bioadditives increase the tribological performance of lubricants.
Table 9. Antiwear properties of mineral oil blended with POME additive at two different weld loads [59].

2.8. Jojoba Oil-Based Polymers

The research team guided by Nasser (2015) prepared a homopolymer of jojoba oil along with its six copolymers with monomers of different alkylacrylates (dodecyl-acrylate, tetradecyacrylate, and hexadecyacrylate) and different α–olefins (1-dodecene, 1-tetra-decene, and 1-hexadecene) separately with a 1:2 molar ratio [38]. The performances of these polymers as a VII and a PPD were evaluated after their characterizations. It has been found that the viscosity index increases with an increase in the alkyl chain length of both α-olefins, and acrylate monomers, while the pour point improved for additives based on alkyl acrylate.

2.9. Preparation of Vegetable Oil-Based Polymer Nanocomposites and Their Application as an Antifriction Additive for Biolubricants

The use of polymer nanocomposites (PNC) as an antiwear additive for lubricants has become very popular recently. With increasing environmental concerns, the use of bioresources to prepare polymer biocomposites has come into focus [60][61]. The polymerization of vegetable oils/derivatives in the presence of different organic or inorganic nanoparticles produces vegetable oil polymer- nanocomposites, which are widely applied in the automotive industry for tribological applications [62]. Bhuyana et al. [63] have disclosed the tribological properties of novel biobased nanocomposites prepared by the cationic copolymerization of conjugated low-saturated soybean oil with styrene and divinylbenzene in the presence of reactive organomodified montmorillonite (VMMT) clay of different concentrations (0%, 1%, and 5% w/w) as the reinforcing phase and modified boron trifluoride diethyl etherate (BFE) as the catalyst. The incorporation of nanoparticles in the polymer matrix improved wear-resistant characteristics and thermal stability compared to neat polymers [64]. The coefficient of friction of the composite with 1% clay concentration is 19.2% and 22.4% lower than the ones with 0% and 5% clay concentrations, respectively. Thus, the addition of clay by 1% (w/w) resulted in a nanocomposite material with superior wear behavior compared to the ones with higher and lower clay concentrations. Based on these studies, it can be said that the VMMT in the polymer matrix plays an important role in enhancing the wear behavior of the resulting nanocomposites.

References

  1. Miao, S.; Wang, P.; Su, Z.; Zhang, S. Vegetable-oil-based polymers as future polymeric biomaterials. Acta. Biomater. 2014, 10, 1692–1704.
  2. Bähr, M.; Mülhaupt, R. Linseed and soybean oil-based polyurethanes prepared via the non-isocyanate route and catalytic carbon dioxide conversion. Green Chem. 2012, 14, 483–489.
  3. Islam, M.R.; Beg, M.D.H.; Jamari, S.S. Development of Vegetable-Oil-Based Polymers. J. Appl. Polym. Sci. 2014, 131.
  4. Kayode, A.A. Review of vegetable oil-based polymers: Synthesis and applications. Open. J. Polym. Chem. 2015, 5, 34–40.
  5. Florea, M.; Catrinoiu, D.; Paul, L.; Balliu, S. The influence of chemical composition on the pour-point depressant properties of methacrylate copolymers used as additives for lubricating oils. Lubr. Sci. 1999, 12, 31–44.
  6. Mohamed, M.M.; Naga, H.H.A.E.; Meneir, M.F.E. Multifunctional viscosity index improvers. Chem. Technol. Biotechnol. 1994, 60, 283–289.
  7. Liu, W.; Hu, L.; Zhang, Z. Friction and wear of the film formed in the immersion test of oil containing antiwear and extreme pressure additives. Thin Solid Films 1995, 271, 88–91.
  8. Spikes, H.A. Beyond ZDDP. Lubr. Sci. 2008, 20, 77–78.
  9. Maleque, M.A.; Masjuki, H.H.; Sapuan, S.M. Vegetable-based biodegradable lubricating oil additives. Ind. Lubr. Tribol. 2003, 55, 137–143.
  10. Maleque, M.A.; Masjuki, H.H.; Haseeb, A.S.M.A. Effect of mechanical factors on tribological properties of palm oil methyl ester blended lubricant. Wear 2000, 239, 117–125.
  11. Adhvaryu, A.; Erhan, S.Z.; Perez, J.M. Tribological studies of thermally and chemically modified vegetable oils for use as environmentally friendly lubricants. Wear 2004, 257, 359–367.
  12. Biresaw, G.; Adhvaryu, A.; Erhan, S.Z. Friction properties of vegetable oils. J. Am. Oil. Chem. Soc. 2003, 80, 697.
  13. Mobarak, H.M.; Niza Mohamad, E.; Masjuki, H.H.; Kalam, M.A.; Al Mahmud, K.A.H.; Habibullah, M.; Ashraful, A.M. The prospects of biolubricants as alternatives in automotive applications. Renew. Sustain. Energy. Rev. 2014, 33, 34–43.
  14. Willing, A. Lubricants based on renewable resource—An environmentally compatible alternative to mineral oil products. Chemosphere 2001, 43, 89–98.
  15. Asadauskas, S.; Perez, J.M.; Duda, J.L. Oxidative stability and anti-wear properties of high oleic vegetable oils. Lubr. Eng. 1996, 52, 877–882.
  16. Wagner, H. Lubricant base fluids based on renewable raw materials. Their catalytic manufacture and modification. Appl. Catal. A 2001, 221, 429–442.
  17. Zhao, Y.H.; Hupin, S.; Lecamp, L.; Vuluga, D.; Afonso, C.; Burel, F.; Loutelier-Bourhis, C. Thiol–ene chemistry of vegetable oils and their derivatives under UV and air: A model study by using infrared spectroscopy and mass spectrometry. RSC Adv. 2017, 7, 3343–3352.
  18. Salimon, J.; Salih, N.; Yousif, E. Biolubricants: Raw materials, chemical modifications and environmental benefits. Eur. J. Lipid Sci. Technol. 2010, 112, 519–530.
  19. Campanella, A.; Rusto, E.; Baldessari, A.; Baltanás, M.A. Lubricants from chemically modified vegetable oils. Bioresour. Technol. 2010, 101, 245–254.
  20. Karmakar, G.; Ghosh, P.; Sharma, B.K. Chemically modifying vegetable oils to prepare green lubricants. Lubricants 2017, 5, 44.
  21. Beran, E.; Łoś, M.; Kmiecik, A. Influence of thermo-oxidative degradation on the biodegradability of lubricant base oils. J. Synth. Lubr. 2008, 25, 75–83.
  22. Karmakar, G.; Ghosh, P. Atom transfer radical polymerization of soybean oil and its evaluation as a biodegradable multifunctional additive in the formulation of eco-friendly lubricant. ACS Sustain. Chem. Eng. 2016, 4, 775–781.
  23. Karmakar, G.; Ghosh, P. Green additives for lubricating oil. ACS Sustain. Chem. Eng. 2013, 1, 1364–1370.
  24. Karmakar, G.; Ghosh, P. Soybean oil as a biocompatible multifunctional additive for lubricating oil. ACS Sustain. Chem. Eng. 2015, 3, 19–25.
  25. Erhan, S.Z.; Sharma, B.K.; Liu, Z.; Adhvaryu, A. Lubricant base stock potential of chemically modified vegetable oils. J. Agric. Food. Chem. 2008, 56, 8919–8925.
  26. Quinchia, L.A.; Delgado, M.A.; Valencia, C.; Franco, J.M.; Gallegos, C. Natural and synthetic antioxidant additives for improving the performance of new biolubricant formulations. J. Agric. Food. Chem. 2011, 59, 12917–12924.
  27. Ghosh, P.; Hoque, M.; Karmakar, G.; Yeasmin, S. Castor oil based multifunctional greener additives for lubricating oil. Curr. Environ. Eng. 2017, 4, 197–206.
  28. Ghosh, P.; Karmakar, G. Evaluation of sunflower oil as a multifunctional lubricating oil additive. Int. J. Ind. Chem. 2014, 5, 1–10.
  29. Ghosh, P.; Hoque, M.; Karmakar, G. Terpolymers based on sunflower oil/alkyl acrylate/styrene as sustainable lubricant additive. Polym. Bull. 2016, 74, 2685–2700.
  30. Xia, Y.; Larock, R.C. Vegetable oil-based polymeric materials: Synthesis, properties, and applications. Green. Chem. 2010, 12, 1893–1909.
  31. Wool, R.P. Polymers and composite resins from plant oils. Bio-Based Polym. Compos. 2005, 56, 113.
  32. Upadhyay, M.; Karmakar, G.; Kapur, G.S.; Ghosh, P. Multifunctional greener additives for lubricating oil. Polym. Eng. Sci. 2017.
  33. Ghosh, P.; Upadhyay, M. Isodecyl acrylate-olive oil copolymers as potential biodegradable additive for lubricating oil. J. Polym. Res. 2016, 23, 100.
  34. Talukdar, S.; Upadhyay, M.; Ghosh, P. Synthesis and performance evaluation of vegetable oil polymer as a multifunctional lube oil additive. Pet. Sci. Technol. 2018, 36, 1–8.
  35. Biresaw, G.; Asadauskas, S.J.; McClure, T.G. Polysulfide and Biobased Extreme Pressure Additive Performance in Vegetable vs Paraffinic Base Oils. Ind. Eng. Chem. Res. 2012, 51, 262–273.
  36. Erhan, S.Z.; Adhvaryu, A.; Sharma, B.K. Poly(hydroxy thioether) Vegetable Oil Derivatives Useful as Lubricant Additives. U.S. Patent 7,279,448 B2, 9 October 2007.
  37. Landis, P.S. Telomerized Triglyceride Vegetable Oil for Lubricant Additives. U.S. Patent 5,229,023, 20 July 1993.
  38. Nassar, A.M.; Ahmed, N.S.; Nasser, R.M. Jojoba polymers as lubricating oil additives. Pet. Coal 2015, 57, 120–129.
  39. Samad, A.M.; Sinha, S.K. Nanocomposite UHMWPE–CNT Polymer Coatings for Boundary Lubrication on Aluminium Substrates. Tribol. Lett. 2010, 38, 301–311.
  40. Samad, A.M.; Sinha, S.K. Dry sliding and boundary lubrication performance of a UHMWPE/CNTs nanocomposite coating on steel substrates at elevated temperatures. Wear 2011, 270, 395–402.
  41. Lu, Y.; Larock, R.C. Novel polymeric materials from vegetable oils and vinyl monomers: Preparation, properties, and applications. Chem. Sus. Chem. 2009, 2, 136–147.
  42. Meier, M.A.R.; Metzger, J.O.; Shubert, U.S. Plant Oil Renewable Resources as Green Alternatives in Polymer Science. Chem. Soc. Rev. 2007, 36, 1788–1802.
  43. Tsujimoto, T.; Uyama, H.; Kobayashi, S. Green Nanocomposites from Renewable Resources: Biodegradable Plant Oil-Silica Hybrid Coatings. Macromol. Rapid. Commun. 2003, 24, 711–714.
  44. Fernández-Gutiérrez, M.; Pérez-Köhler, B.; Benito-Martínez, S.; García-Moreno, F.; Gemma Pascual, L.; García-Fernández, M.; Rosa Aguilar, B.; Vázquez-Lasa, J.M.B. Development of Biocomposite Polymeric Systems Loaded with Antibacterial Nanoparticles for the Coating of Polypropylene Biomaterials. Polymers 2020, 12, 1829.
  45. Sánchez-Safont, E.L.; Aldureid, A.; Lagarón, J.M.; Gámez-Pérez, J.; Cabedo, L. Biocomposites of different lignocellulosic wastes for sustainable food packaging applications. Compos. B Eng. 2018, 145, 215–225.
  46. Blayo, A.; Gandini, A.; Le Nest, J.F. Chemical and Rheological Characterizations of Some Vegetable Oils Derivates Commonly Used in Printing Inks. Ind. Crops. Prod. 2001, 14, 155–167.
  47. Hill, K. Fats and Oils as Oleochemical Raw Materials. Pure Appl. Chem. 2000, 72, 1255–1264.
  48. Soutis, C.; Yi, X.; Bachmann, J. How green composite materials could benefit aircraft construction. Sci. China Technol. Sci. 2019, 62, 1478–1480.
  49. Ghosh, P.; Das, T.; Nandi, D.; Karmakar, G.; Mandal, A. Synthesis and Characterization of Biodegradable Polymer-Used as a Pour Point Depressant for Lubricating Oil. Int. J. Polym. Mater. 2010, 59, 1008–1017.
  50. Ghosh, P.; Das, T.; Karmakar, G.; Das, M. Evaluation of acrylate-sunflower oil copolymer as viscosity index improvers for lube oils. J. Chem. Pharm. Res. 2011, 3, 547–556.
  51. Ogunniyi, D.S. Castor oil: A vital industrial raw material. Bioresour. Technol. 2006, 97, 1086–1091.
  52. Kunduru, K.R.; Basu, A.; Zada, M.H.; Domb, A.J. Castor oil-based biodegradable polyesters. Biomacromolecules 2015, 16, 2572–2587.
  53. Mutlu, H.; Meier, M.A.R. Castor oil as a renewable resource for the chemical industry. Eur. J. Lipid. Sci. Technol. 2010, 112, 10–30.
  54. Singh, A.K. Castor oil-based lubricants reduces smoke emission in two stroke engines. Ind. Crop. Prod. 2011, 33, 287–295.
  55. Ghosh, P.; Hoque, M.; Karmakar, G. Castor oil as potential multifunctional additive in the formulation of eco-friendly lubricant. Polym. Bull. 2017.
  56. Ghosh, P.; Dey, K.; Upadhyay, M.; Das, T. Multifunctional biodegradable lube oil additives: Synthesis, characterization, and performance evaluation. Pet. Sci. Technol. 2017, 35, 66–71.
  57. Saha, D.K.; Upadhyay, M.; Ghosh, P. Dodecylmethacrylate-olive oil copolymers as potential biodegradable pour point depressant for lubricating oil. Pet. Sci. Technol. 2017.
  58. Saha, D.K.; Ghosh, P. Almond Oil as Potential Biodegradable Lube Oil Additive: A Green Alternative. J. Polym. Environ. 2017, 26, 2392–2400.
  59. Liew, W.Y.H.; Dayou, S.; Dayou, J.; Siambun, N.J.; Ismail, M.A.B. The effectiveness of palm oil methyl ester as lubricant additive in milling and four-ball tests. Int. J. Surf. Sci. Eng. 2014, 8, 153–172.
  60. Lee, K.Y.; Wong, L.L.C.; Blaker, J.J.; Hodgkinson, J.M.; Bismarck, A. Bio-based macroporous polymer nanocomposites made by mechanical frothing of acrylated epoxidised soybean oil. Green Chem. 2011, 13, 3117–3123.
  61. Miyagawa, H.; Misra, M.; Drzal, L.T.; Mohanty, A.K. Novel biobased nanocomposites from functionalized vegetable oil and organically-modified layered silicate clay. Polymer 2005, 46, 445–453.
  62. Ren, Y.; Zhang, L.; Xie, G. A review on tribology of polymer composite coatings. Friction 2021, 9, 429–470.
  63. Bhuyan, S.; Sundararajan, S.; Lu, Y.; Larock, R.C. A study of the physical and tribological properties of biobased polymer–clay nanocomposites at different clay concentrations. Wear 2010, 268, 797–802.
  64. Bikiaris, D. Can nanoparticles really enhance thermal stability of polymers? Part II: An overview on thermal decomposition of polycondensation polymers. Thermochim. Acta. 2011, 523, 25–45.
More
Upload a video for this entry
Information
Contributor MDPI registered users' name will be linked to their SciProfiles pages. To register with us, please refer to https://encyclopedia.pub/register : Koushik Dey
View Times: 1.2K
Revisions: 4 times (View History)
Update Date: 20 May 2021
Notice
You are not a member of the advisory board for this topic. If you want to update advisory board member profile, please contact office@encyclopedia.pub.
OK
Confirm
Only members of the Encyclopedia advisory board for this topic are allowed to note entries. Would you like to become an advisory board member of the Encyclopedia?
Yes
No
${ textCharacter }/${ maxCharacter }
Submit
Cancel
There is no comment~
${ textCharacter }/${ maxCharacter }
Submit
Cancel
${ selectedItem.replyTextCharacter }/${ selectedItem.replyMaxCharacter }
Submit
Cancel
Confirm
Are you sure to Delete?
Yes No
Academic Video Service