Your browser does not fully support modern features. Please upgrade for a smoother experience.
Epoxy-Based Natural Fiber Biocomposite Materials: History
View Latest Version
Please note this is an old version of this entry, which may differ significantly from the current revision.
Contributor: Raed B. Alsuwait , Miloud Souiyah , Ibrahim Momohjimoh , ,

Biocomposites, as widely defined, refer to composite materials fabricated from natural or biofibers and petroleum-derived non-biodegradable resins. Any biocomposite produced from plant or crop origin, which is likely to be environmentally friendly, is described as a green composite. This research focused on the processing, mechanical properties, physical properties, thermal properties, electrical properties, biodegradability studies, application of nondestructive evaluation of epoxy-based natural fibers biocomposite materials. This research is unique as it covered many aspects of polymer composite materials. Future direction in the area of epoxy-based natural fibers biocomposite material development is clearly highlighted for the benefit of the readers.

  • biocomposites
  • epoxy
  • natural fibers
  • biodegradable

1. Introduction

The manufacturing industry employs various materials, including pure metals, alloys, and composites in their numerous operations. The demerits of pure metals and alloys have shifted the attention of industrialists and scientists to composites to satisfy the expectations of modern materials’ requirements in the current production industry [1][2]. A composite, by definition, consists of two or more materials, of which one is called a matrix and the others are reinforcement, and these have exciting properties [3].
The high glass transition temperature, high modulus, excellent adhesion to a wide range of fibers, and chemical resistance of epoxy resins have made it versatile as a structural thermoset resin. However, the inability of the epoxy resins to be recycled, reprocessed, or dispersed because of their permanent cross-linked structures makes them environmentally unfriendly as compared to their thermoplastics counterparts [4][5][6][7]. Resolving the environmental issue orchestrated by thermoset materials is an important area of concern, and the production of biodegradable polymers and composites could provide a way forward. Thus, the reinforcement of biopolymers or synthetic polymers with natural fibers instead of synthetic or glass fibers in polymer composites is a viable alternative to environmental remediation [8][9][10][11][12]. Biocomposites, as widely defined, refer to composite materials fabricated from natural or biofibers and petroleum-derived non-biodegradable resins [13]. Any biocomposite produced from plant or crop origin, which is likely to be environmentally friendly, is described as a green composite [14]. It is important to state that the production of 100% biobased materials as a replacement for petroleum-based products is economically unviable. However, a combination of petroleum and biobased resources to produce cost-effective materials with extensive applications is more likely to be a viable solution.
Although researchers and scientists have reported exciting mechanical and functional properties of epoxy-based natural fiber composites, the inherent polar and hydrophilic characteristics of natural fibers and the hydrophobic nature of epoxy resins have created impediments in amalgamation resulting in non-uniform distribution of the fiber in the matrix. Consequently, the efficiency of the developed composite is impaired [15]. This is the profound challenge of epoxy-based natural fiber composites. Other issues associated with natural fiber polymer composites include the restricted processing temperature (less than 200 °C), high moisture absorption, the presence of voids at the interface between the fiber and the matrix, and low dimensional stability [16]. To ameliorate these difficulties associated with natural fiber polymer composites, the treatment of natural fibers before their incorporation into the polymer matrix is crucial. Broadly, natural fiber treatment is categorized into two types: Chemical treatment and surface treatment [1]. Chemical treatment is purposefully designed to reduce the hydrophilic nature of the fibers and this includes alkali treatment, acetic acid treatment, silane treatment, benzoyl peroxide treatment, potassium permanganate treatment, stearic acid treatment, seawater treatment, cellulose powder treatment, polymer coating treatment, bleaching treatment, graft copolymerization, and isocyanate treatment [1][17][18]. Surface treatment of natural fibers is aimed at modifying the fiber surface and equally increases the fiber strength leading to enhancement in adhesion mechanisms between the fiber surface and the polymer matrix. Surface treatment includes plasma treatment, vacuum ultraviolet irradiation treatment, ozone treatment, corona treatment, γ-ray treatment, and laser treatment [1]. Among the chemical treatment methods, alkali (NaOH) treatment is the most common as the treatment is simple, effective, economical, and readily scalable [19]. In this treatment method, two parameters (concentration of sodium hydroxide and the treatment time) are most varied to optimize the treatment conditions.
Researchers have opined that hybridization is a possible solution to the limitations of natural fibers as that would reduce the utilization of synthetic fibers and their attendant environmental consequences. By definition, hybridization is the inclusion of two fibers, either natural fiber, synthetic fiber, or a combination of both fibers [20]. The properties of epoxy natural fiber composites rely on the nature of the constituent elements, their compositions, and the production technique employed in the manufacturing of the composites. Common production technology used in the manufacturing of epoxy-based natural fiber biocomposites includes hand lay-up [7][21][22][23], compression molding [24], sheet molding [25], filament winding [26], and vacuum infusion [27]. Ramasamy et al. [22] prepared epoxy containing synthetic Kevlar fiber and kenaf natural fiber using hand lay-up techniques. The mechanical properties of epoxy were reported to have improved with the inclusion of hybrid fibers. Ankit et al. [28] fabricated epoxy containing luffa fiber and nano clay using the compression molding technique. The composition of nano clay varied, and the maximum mechanical properties were achieved at 2 wt% nano clay. As the nano clay content increased beyond 2 wt%, the mechanical properties of the hybrid reduced, and this was attributed to the clustering of nano clay at higher concentrations due to their high density and Brownian motion. The production of epoxy-containing treated alfa fiber through the hand lay-up technique was investigated by Helaili et al. [8]. In their investigation, the epoxy was filled with 10 vol% content and the elastic modulus of the epoxy was increased by 24.16%. Iliyasu et al. [29] studied the effect of deleb palm fiber parameters on the physical and mechanical properties of epoxy composite using the response surface methodology. Here, epoxy resin was reinforced with sodium hydroxide-treated deleb palm fiber, and the composites were prepared using the hand lay-up technique. The optimized two parameters include reinforcement weight compositions (30–40 wt%) and the fiber length (1–3 mm). The results revealed that a fiber reinforcement composition of 38.3 wt% and a fiber length of 3 mm produced the optimum mechanical and physical properties. Ouchte et al. [30] studied the effect of thermal treatment on the mechanical properties of jute/epoxy composites prepared by the hand lay-up technique. The samples after fabrication were thermally treated at different temperatures (25, 40, 60, 80, and 100 °C), and their mechanical properties such as tensile strength and hardness were determined. It was revealed that the jute/epoxy composite treated at 80 °C has the maximum mechanical tensile strength and hardness compared to others and this is attributed to the improvement in the interfacial adhesion between the fiber and the epoxy matrix. In other reports, Reddy et al. [31] and Nigrawal et al. [32] explained the improvement in mechanical and electrical properties of jute/epoxy hybrid composites after sodium hydroxide treatment of the fiber. In their study, jute fiber was treated with 10% NaOH solution for 5 h and 15% NaOH solution for 48 h, respectively. The mechanical and electrical properties of the composites improved significantly, and this was again attributed to the increase in the interfacial adhesion between the fiber and the epoxy matrix.
Arumugam et al. [33] conducted a study on the mechanical, thermal, and electrical performances of sodium hydroxide-treated rice husks and sawdust epoxy biocomposites fabricated by the hand lay-up technique. The mechanical tensile strength of 7.5 MPa and 7.1 MPa were achieved on epoxy containing 50 wt%-treated rice husk and 50 wt% sawdust, respectively. The thermal resistivity of rice husk/epoxy composite and saw dust epoxy composites were 0.1 M2k/w and 0.08 M2k/w, respectively. Regarding the electrical surface resistivity of the composite, values of 1.27 × 1010 Ω/m2 and 7.29 × 109 Ω/m2 were reported for epoxy/rice husk and epoxy saw dust biocomposites, respectively. The decrease in thermal and electrical conductivity of epoxy with natural fiber inclusion is attributed to the fact that natural fibers have a porous structure that enables them to entrap air within their molecular structure [10][34][35][36][37][38]. The acoustic performance of epoxy-containing rice husk and sawdust was equally evaluated, and the sound absorption of epoxy was improved with rice and sawdust incorporation. This is because the sound absorption characteristic is related to the internal structure of the natural fibers. Thus, a hollow tubular structure with multiple minute pores helps to abate the transmission of vibrations caused by mechanical disposition over the entire material.

2. Processing of Epoxy-Based Natural Fiber Polymer Composite Materials

The processing and fabrication of epoxy-based natural fibers are paramount as the properties of composites are conditioned on the constituent elements of the composites, production technology, and the techniques employed in organizing the fibers [4][39][40][41][42]. In addition to high strength and stiffness at a low density, composite materials exhibit interesting high corrosion and chemical resistance combined with low cost [25]. However, these awesome properties are not only determined by the incorporated fibers but the matrix also remarkable an important role, as well as the interaction between the matrix and the reinforcing fiber components of the composites. An epoxy matrix is characterized by high hardness, wear resistance, and static and dynamic impact strength, and is usually utilized to achieve the properties of fibers, reduce the surface damage of the fiber, and inhibit the propagation of cracks in the composites [43].
One major interesting aspect of lignocellulosic natural fibers is their positive environmental impact and excellent acoustic insulating properties, although their polar and hydrophilic nature impairs their uniform distributions in the non-polar epoxy matrix, leading to poor compounding and consequently affects the interesting properties of the composites [7][43][44][45]. Natural fibers generally could be termed as a composite primarily comprising cellulose fibrils incorporated into a lignin matrix [12]. The main components of lignocellulosic fibers (natural fibers) are cellulose, hemicellulose, lignin, pectin, and waxes [11]. Lignin availability in the natural fibers could lead to poor bonding between the fiber and the matrix and eventually result in the removal of the layers [8]. To ameliorate this bonding issue, natural fiber treatment is paramount. There are many methods of fiber treatment before their use as reinforcement in epoxy-based composites. The techniques for fiber treatment include chemical, mechanical, and thermal methods [46][47][48][49][50][51]; however, among the treatment methods, chemical treatment (sodium hydroxide) is the most common, economical, and industrially scalable fiber treatment widely reported.
Ranjan et al. [11] studied the comparative analysis of sodium hydroxide and hot water treatment of rice husks fiber. It was discovered that sodium hydroxide (2% NaOH)-treated rice husks in biodegradable epoxy containing 20 wt% rice husks exhibited the highest mechanical tensile and impact strength compared to hot water and their untreated rice husk epoxy composite counterparts. It is indeed important to note that boiling natural fibers in sodium hydroxide could lead to significant degeneration as the oxidizing agent attacks all the other components of the fiber, leaving only cellulose or fibril [52]. In another report, Rajeshkumar et al. [53] explored the influence of sodium hydroxide treatment concentrations (5, 10, 15, and 20%) on the mechanical properties of epoxy-containing phoenix sp. plant fibers for 1 h. It was revealed that a 15% sodium-hydroxide-treated phoenix sp./epoxy composite had the highest mechanical properties. It was therefore concluded that below a concentration of 15%, the fiber was inadequately treated, while beyond a 15% NaOH concentration, damage to the fiber (making it less dense and brittle [54]) occurred, which impaired the mechanical performances of the composites. For chemical treatment, time and concentration are the two major parameters that need to be optimized to ensure that adequate treatment of the fiber is achieved.
Currently, different manufacturing techniques have been used for the production of epoxy-based natural fiber composites [55]. This includes hand lay-up [56][57][58][59][60][61][62], compression molding [63][64][65][66][67][68], sheet molding [69], cold press [70], filament winding [71], and vacuum infusion [72], which are the most common techniques that have been reported in the production of epoxy-based natural fiber composites.
The hand lay-up technique is the most popular method to produce biocomposite epoxy both in small- and large-scale manufacturing (Figure 1a). The equipment is simple, very economical, and applicable to a variety of products fabrication. Usually, the mold is coated with gel to facilitate the removal of the composite. After coating, the fibers are manually placed in the mold and then the resin containing the hardener is applied. Uniform distribution of the resin mixture is achieved with the help of a roller to ensure that entrapped air is removed from the composite matt. Enough time is allowed for curing to take place and then the composite is removed from the mold for further processing [73]. Although this technique can be used to produce large-scale precision components, it requires temperature control to avoid the decomposition of the fibers used to produce the components.
Figure 1. Epoxy manufacturing techniques: (a) Hand lay-up, (b) compression molding, (c) vacuum-assisted resin transfer molding, and (d) pultrusion [16] (Reprinted/adapted with permission from Elsevier Ref.5457180037607).
Compression molding is a common processing technique used for epoxy/natural fiber component manufacturing because of its simplicity and versatility. Here, the short fiber is pre-mixed into the epoxy resin before the application of heat or pressure to achieve full impregnation and shape. In this method, a mixture of resin and fiber is placed in the mold cavity with the required shape component, and then the upper part is placed to close the mold with the subsequent application of pressure to force the premix to compact and take the shape of the mold [74]. It is a high-volume and high-pressure technique used for the manufacturing of complex and high-strength epoxy biocomposites (Figure 1b). The technique is suitable for the production of complex part geometries with different fiber orientations; however, the size of the composite yield is limited by the size of the presses. Moreover, the processing method is labor intensive as the processor is vulnerable to liquid resins and their volatile emulsions [75].
Vacuum-assisted resin transfer molding technique is a low-temperature and low-pressure technique that is capable of producing high-performance structures on a large scale [76] (Figure 1c). Usually, the natural fiber is placed inside the mold and then the liquid resin is pumped and transferred inside the mold through the fiber. The extra resin is recovered from the other end of the mold. Finally, the components are ejected from the mold after sufficient time is allowed for curing. This technique is good for the production of large parts; however, due to the lower applied pressure and inherent loftiness of most lignocellulosic fibers, low-volume fiber fraction is required, and this makes the technique unsuitable for the large volume fraction of natural fiber composite development [75].
The pultrusion technique is an automated process used to produce continuous constant cross-section composites. It is reported to be suitable for manufacturing unidirectional natural fiber epoxy composites. It is used for the fabrication of a fixed-type profile based on the required shape (Figure 1d). Here, continuous fiber from the roving is pulled and processed through the resin bath, and thereafter, the melted resin is infused with the fiber and shaped to the required shape component [77]. As the method relies on the pulling of continuous roving through a resin bath/impregnator, care must be taken during production using natural fibers due to their yarn’s low pull strength. As a result, pull speeds are usually limited to 100–200 mm/min, which is low when compared to the pull speeds used during glass fiber/epoxy processing [78].
The choice of the above manufacturing methods is dictated by various factors comprising the component material properties, size, and geometry of the composite, and the cost involved in the processing of the composite. Rangappa et al. [79] prepared epoxy hybrid composites reinforced with chicken feather fiber and Ceiba pentandra bark fibers. Firstly, both natural fibers were mixed with bio epoxy and stirred continuously on a magnetic stirrer hot plate at 60 °C for 30 min. The stoichiometric amount (epoxy to curing ratio: 9:3.33) was added to the mixture at room temperature and stirred for 2–3 min. The solution was then poured on a casting mold to cure overnight. Finally, after casting, the hybrid composite was prepared by compression molding and cured for 24 h. Post-curing of the hybrid composites was performed at 80 °C for 24 h in an oven, and composites of dimension 200 × 200 × 3 mm were produced. A hand lay-up approach in the fabrication of hybridized jute fiber, Grewia optiva fiber, and glass fiber in epoxy matrix composites has been presented [15]. The glass fiber and natural fibers were mixed thoroughly and then poured on a glass mold with dimensions of 500 × 300 × 4 mm already containing an amount of epoxy resin. The remaining resin was then spread over the mat, and a 15 kg load was held above the sample and left to cure for 24 h. Atmakuri et al. [80] employed the hand lay-up technique in the fabrication of Caryota and sisal natural fiber hybrid epoxy composites. Firstly, the epoxy resin and hardener were mixed in a ratio of 10:1. The mixture was stirred in a plastic bag for 3–4 min for proper mixing and thereafter left for 30 s. The epoxy resin mixture was poured over the fiber uniformly and compressed for a curing period of 24 h with a constant load of 5 kg to obtain a caryota and sisal fiber hybrid epoxy composite. The preparation of kenaf/hybrid boron nitride epoxy composites was reported by Xia et al. [81]. Sodium hydroxide-treated kenaf was mixed with hybrid boron nitride in deionized water and dried at 105 °C for 24 h. The preformed mat was completely mixed with epoxy. The mixture was then transferred to the steel mold and then compressed by a hot press at 150 °C and 13.2 MPa, and then maintained at this temperature for 60 min. The composite was removed and kept for 7 h for further use. A combination of the hand lay-up technique and the compression molding method has been used in the processing of a date palm/bamboo hybrid composite [82][83]. In their study, a mixture of fibers and epoxy resin together with hardener was stirred at room temperature with a stoichiometric ratio of epoxy to hardener of 2:1. Subsequently, the mixture was poured into a steel mold with a fiber-to-epoxy ratio of 50:50 wt% and transferred to a hot press heated to 110 °C for 10 min. It was then removed from the machine after it had cooled down to 10 min to obtain a date palm fiber/bamboo epoxy hybrid composite. The vacuum-assisted resin infusion molding technique [84] was employed in the fabrication of an epoxy composite containing 30 vol.% Boehmeria nivea fabric. Before composite preparation, Boehmeria nivea fabric was washed in deionized water for 20 min and dried in an oven at 80 °C for 24 h. A mechanical pump was used to vacuum the system at 760 mmHg. The composite sample was cured at room temperature for 24 h.
The preparation of epoxy containing three different biofillers (walnut shell, hazelnut shell, and sunflower husk) is detailed in the report [85]. Composite constituents were mixed using a high-speed mechanical stirrer at three different rotational speeds (7000, 10,000, and 17,000 rpm) for 3, 1.5, and 0.5 min, respectively. Then the mixtures were degassed in a vacuum for 1 h and the curing agent was incorporated. Thereafter, the mixtures were stirred for 2 min at 7000 rpm and degassed for a period of 10 min. The samples were then cured for 2 days in Teflon form at room temperature and post-cured for 2 h at 80 °C. The preparation process is demonstrated in Figure 2 below.
Figure 2. Preparation of epoxy-based natural fibers composites [85] (Reprinted/adapted with permission from Elsevier Ref.5457271400523 Copyright 2019).
The preparation of epoxy-containing seashells and glass fiber was reported by Krishna et al. [86]. In this synthesis, the epoxy, glass fiber, and seashells were mixed, and the hand lay-up process was employed in the processing of the composite. First, the glass fiber was laid followed by seashell powders. The layer composition in the metallic mold was compressed using a hydraulic cold press at 5 bars for 24 h. After 24 h, the composite was removed from the die and was ready to be characterized. The preparation of date palm fiber in phenolic epoxy composites was presented in another paper [21]. The fabrication of the composite was performed in a mold via hot pressing at 140 °C for 8 min. Thereafter, the mold was cooled and the composite was removed for characterization. Furthermore, the preparation of epoxy-containing synthetic fiber (Kevlar) and natural fiber (kenaf) was presented in another work [22]. First, the epoxy resin was mixed with the hardener in a ratio of 10:1 to promote the bonding of the epoxy matrix with the fibers. The Kevlar and kenaf fibers were stacked in alternate layers in the mold and then the epoxy resin was applied. After the application of epoxy resin, a roller was applied to promote better bonding. The composite was then pressed at 60 °C for a period of 8 h. The fabricated composite was then removed for mechanical characterization. Moreover, the fabrication of hybrid epoxy-based composite material using the hand lay-up technique was demonstrated in the work [87]. The epoxy-containing jute and carbon fibers were prepared in a split mold. The fibers were laid at the bottom of the mold, and the epoxy-containing hardener was brushed over it. The composite was kept in a hydraulic press at room temperature and a pressure of 0.5 MPa for 2 h. The base of the mold was removed from the hydraulic press and kept for 24 h. The fabricated composite was then removed and kept for 1 week for curing. Gairola et al. [88] fabricated a banana-fiber-reinforced epoxy-based composite using the hand lay-up technique. The epoxy resin was mixed with a hardener in a ratio of 10:1 and then the first layer was applied to the bottom of the mold and banana fiber was placed over it. Subsequently, the epoxy mixture was poured over it to impregnate the fiber thoroughly. A static load of 2 kg was placed over the upper plate for 48 h at room temperature to produce the composite, as shown in Figure 3. Biodegradable rice husk epoxy composites have also been prepared [11][12]. After the treatment of the rice husk with hot water and a sodium hydroxide solution, the epoxy-containing hardener was added to the rice husk one after the other, and consequently, single-layer, double-layer, and triple-layer bidirectional cross-fiber composites were produced. The prepared composites were left for 24 h to harden. Helaili et al. [8] fabricated an epoxy/alfa fiber biodegradable polymer composite. The epoxy resin and hardener in the ratio of 100: 26.4 were mixed using a magnetic stirrer for 30 min. After homogenization, the mixture was degassed in a vacuum to remove any residual gasses. The fiber was randomly spread in the mold and then the epoxy solution was cast into the mold. Subsequently, the remaining air bubbles were removed, and the sample was heated, cured for 2 h at 90 °C, and finally cooled to room temperature.
Figure 3. Preparation of woven banana epoxy-based composite [88] (Reprinted/adapted with permission from Elsevier Ref. 5457190666636 Copy right 2021).
The fabrication of fiber composite materials with epoxy matrix involves two features: First, the fiber chemical structure, which affects the curing reaction, and this phenomenon occurs in restrained conditions. Secondly, because of the high-volume content of the filler fibers, the binder permeates the composite in a thin interlayer fashion. Generally, the curing of epoxy oligomers is characterized by a reduction in volume [89]. The curing of epoxy-fiber composites is dictated by the process parameters and this comprises time, temperature, and pressure [90]. Most importantly, the curing conditions and the nature of the component fillers are the factors that influence the kinetics of binder curing. Depending on the condition of the curing process, internal stresses arise due to shrinkage. Thus, contracting because of the curing reaction of the matrix should be compensated for through the flow of the binder from the outside layer to the inner layer, and this will prevent pore development during composite processing. It has been discovered that in the course of the curing reaction, the change in pore size is affected by the initial pressure, initial concentration of water, and diffusion coefficient [91].
In brief, the performance characteristics of epoxy natural fiber polymer composites rely on factors including component material properties, moisture, temperature, fiber volume fraction, orientation and straightness, and the presence of voids. To produce epoxy natural fiber composites of improved properties, the selection of the processing techniques and process parameters are very essential.

3. Mechanical Properties of Epoxy-Based Natural Fiber Biocomposite Materials

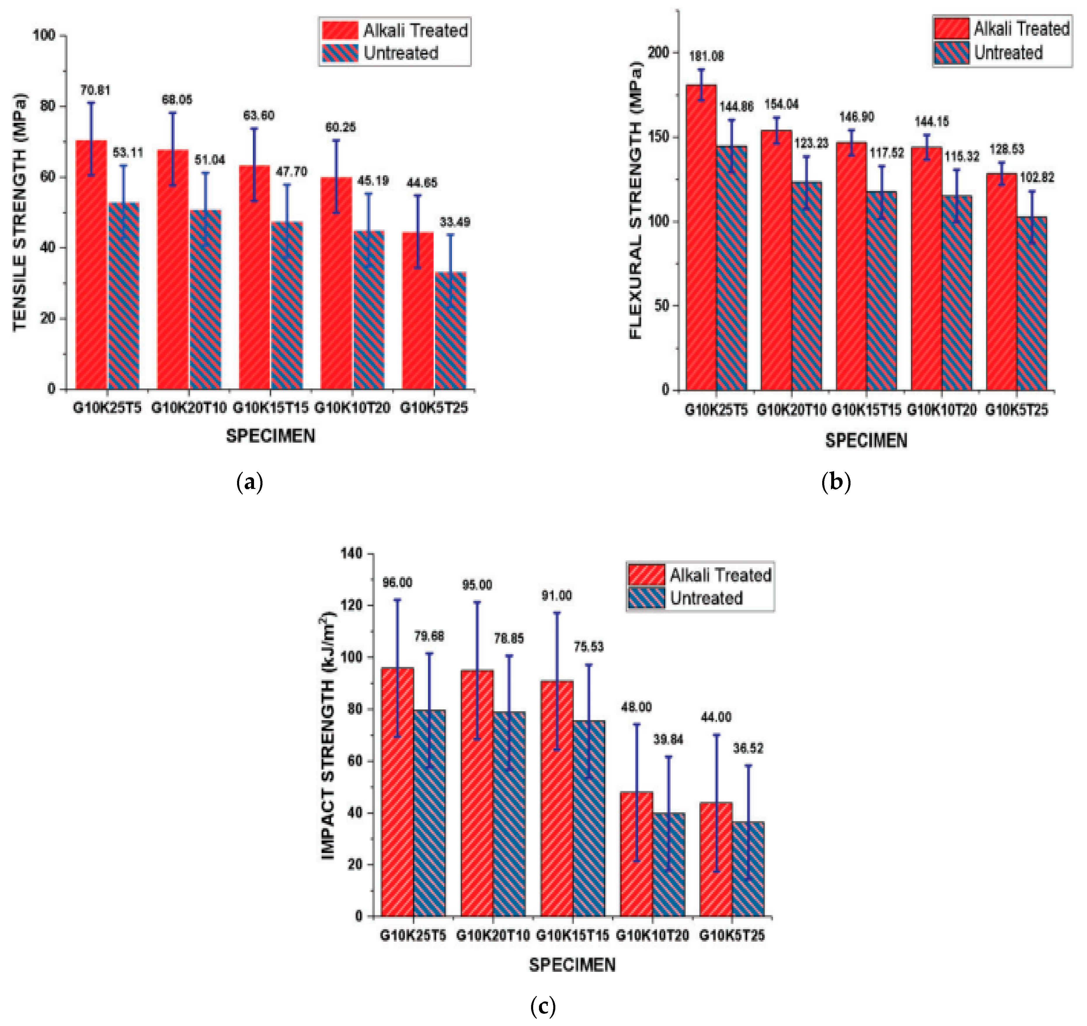
The mechanical properties of natural fiber composites are generally lower than synthetic fiber composites. The natural fiber composites’ properties can be enhanced by incorporating them with synthetic fibers and applying preprocessing treatments on the natural fibers [20]. Table 1 lists the mechanical properties of natural fiber composites and natural fiberglass hybrid composites. Many studies of natural fiber composites and natural fiberglass hybrid composites focused on the mechanical properties of the composites and the effect of different factors, for example, the fiber content, treatments, fiber lengths, stacking sequences, and temperature on the properties. Increasing fiber content causes stress transformation from the epoxy matrix to the natural fiber in composites [92]. Prabhu et al. [64] studied the mechanical properties of epoxy-containing glass fiber, kenaf fiber, and waste tea leaf hybrid composites. The glass fiber was kept at 10 wt% while the weight fraction of kenaf and waste tea leaf fibers varied from 5 to 25 wt%. Maximum mechanical properties (tensile, flexural, and impact strength) were achieved at 10 wt% glass fiber, 25 wt% kenaf fiber, and 5 wt% waste tea leaf fiber (Figure 4). The mechanical properties were found to decrease with an increasing concentration of waste tea leaf fiber but increase with an increasing weight fraction of the kenaf fiber in the hybrid composites. However, a higher fiber content can cause insufficient epoxy matrix and fiber wettability and, as such, more voids within the matrix, which in turn cause weak adhesion as the void serves as a stress concentrator. Alkali treatment, which is a common treatment used for composites, decreases moisture absorption, separates the fibers, cleans the surface, and increases cellulose crystallinity at lower concentrations in contrast with damaging the fiber surface at higher concentrations. Decreasing the natural fiber content at the expense of increasing the glass fiber content increases the tensile, flexural, impact, and hardness properties of the hybrid composite, and this is because glass fibers have higher mechanical properties than the used natural fibers.
Figure 4. Mechanical properties: (a) Tensile strength, (b) flexural strength, and (c) impact strength of epoxy-based hybrid composites [64] (Reprinted/adapted with permission from Elsevier Ref. 5457191256269 copyright 2019).
Table 1. Mechanical properties of epoxy-based natural fibers and glass hybrid polymer composites.

3.1. Tensile Properties

Two main tensile properties, namely, strength and stiffness, have been investigated by researchers in natural fiber composites. Studies have shown that the tensile properties of the composites increased when increasing the fiber content [103][107][111][117]. Other studies revealed that this is true up to an optimum value in another type of fiber composites [104][114][115]. The alkali treatment concentration was reported to increase to an optimum value, and after that, decreased the tensile properties [99][107][113][115]. This is because the high concentration of NaOH could destroy the natural fibers, thereby reducing the reinforcing potency. Aligned-fiber and long-fiber composites have better tensile properties than random-fiber and short-fiber composites, respectively [101][107]. Increasing the temperature has been shown to decrease the tensile properties of fiber composites [113].
In natural fiberglass hybrid epoxy composites, increasing the fiber content with a fixed glass fiber volume fraction has a similar effect as the addition of fibers in natural fiber composites [96]. Studies have reported that decreasing natural fibers and increasing the glass volume fractions increases the composite tensile modulus and increases its tensile strength to an optimum value before decreasing [110][116]. This is because the void content of the composite is reduced with increasing fiber content up to the optimum value. Beyond the optimum value, bonding the fiber with the matrix becomes difficult, likely due to agglomerations, and that results in a weak interface between the fiber and the epoxy matrix leading to poor mechanical properties [121]. The fiber’s orientation and layer-stacking sequence can affect the tensile properties, for example, natural fibers and glass layers bound to one another have more tensile properties than changing layers stacking sequences, and a hybrid composite with fibers aligned along the load has the best tensile properties [98][100][106]. The glass bonding fiber layers were shown to have higher tensile properties than fiber bonding glass layers [112].

3.2. Flexural Properties

The flexural strength and modulus were also investigated in natural fibers composites. Increasing the fiber volume fractions in the composite increases its flexural properties [103][111][117][119]. Increasing the alkali treatment concentration was shown to increase the flexural properties to an optimum value and then thereafter decreased them [99][115], and this is likely due to the destruction of the natural fibers by the high concentration of the NaOH solution used in the treatment. Aligned-fiber and long-fiber composites are shown to have better flexural properties than random-fiber and short-fiber composites, respectively [101][107]. Changing natural and glass fibers volume fractions have effects on the flexural properties, as discussed on the tensile properties [96][110][116]. Generally, the natural fibers bonded by glass layers have the highest flexural properties among other sequence layers, and it is reported that switching sequence layers have higher flexural properties and aligned natural fibers showed higher flexural properties than other orientations [98][100][106][112].

3.3. Impact Properties

Increasing the fiber volume fraction in the composite was reported to increase or decrease the impact energy [104][111][115][117]. Increasing alkali treatment concentration was shown to increase the impact strength up to an optimum level, and afterward, it decreases [99][107]. Again, this decrease in impact energy with increasing concentrations of the alkali solution is attributed to the destruction of the natural fibers by the alkali solution at high concentrations. The impact energy increases when increasing the fiber length [101][107]. The gradual exchange of natural fibers with glass fibers increases the impact strength to an optimum value, then it decreases beyond the optimum value [116][120] due to a reduction in the bonding ability of the fibers with the epoxy matrix leading to high void contents and weak interfacial adhesion between the epoxy and reinforcing fibers.

3.4. Hardness Properties

Hardness decreased as the natural fiber content increased at the expense of the epoxy matrix in glass hybrid composites [96]. Natural fiber layers bounding glass layers have higher hardness than interchanging layer sequences [98]. Longer natural fibers in a glass hybrid composite were shown to have higher hardness than composites with shorter fibers [101][102]. It is important to state that the hardness of natural fiber/epoxy composites strongly depends on the level of distribution of the natural fiber in an epoxy resin matrix. A better, more uniform distribution of the natural fiber in an epoxy matrix enhances the mechanical hardness of the composites.
In summary, the mechanical properties of epoxy/natural fiber composites vary with the volume concentration of the fiber in the epoxy matrix. Depending on the natural fiber type, maximum mechanical properties are usually achieved at fiber concentrations ranging from 20–48 wt% [117][122][123][124]. Beyond the optimal value, the properties are reduced due to weak bonding between the fiber and the matrix. Furthermore, the mechanical properties of the composites are equally sensitive to moisture absorption, and the exposition of epoxy/natural fiber composites to moisture reduced their mechanical properties and dimensional stability [125]. In addition, mechanical properties equally increased with the fiber surface modification before their inclusion in the epoxy matrix. Treated natural fiber/epoxy composites have shown superior mechanical properties as compared to the untreated natural fiber/epoxy composites counterparts [99][126][127][128]. This is because fiber treatment results in the partial dissolution of lignin and amorphous cellulose and the consequent splitting of the fibers into smaller sizes. This facilitates permeating into gaps of the fibers for epoxy resin and forming effective interfacial adhesion [126].

This entry is adapted from the peer-reviewed paper 10.3390/polym15010145

References

  1. Sanjay, M.R.; Siengchin, S.; Parameswaranpillai, J.; Jawaid, M.; Pruncu, C.I.; Khan, A. A Comprehensive Review of Techniques for Natural Fibers as Reinforcement in Composites: Preparation, Processing and Characterization. Carbohydr. Polym. 2019, 207, 108–121.
  2. Alotaibi, M.D.; Alshammari, B.A.; Saba, N.; Alothman, O.Y.; Sanjay, M.R.; Almutairi, Z.; Jawaid, M. Characterization of Natural Fiber Obtained from Different Parts of Date Palm Tree (Phoenix dactylifera L.). Int. J. Biol. Macromol. 2019, 135, 69–76.
  3. Kerni, L.; Singh, S.; Patnaik, A.; Kumar, N. Materials Today: Proceedings A Review on Natural Fiber Reinforced Composites. Mater. Today Proc. 2020, 28, 1616–1621.
  4. Daniyan, I.A.; Mpofu, K.; Adeodu, A.O.; Adesina, O. Development of Carbon Fibre Reinforced Polymer Matrix Composites and Optimization of the Process Parameters for Railcar Applications. Mater. Today Proc. 2021, 38, 628–634.
  5. Uddin, M.F.; Sun, C.T. Improved Dispersion and Mechanical Properties of Hybrid Nanocomposites. Compos. Sci. Technol. 2010, 70, 223–230.
  6. Zorko, D.; Tavčar, J.; Bizjak, M.; Šturm, R.; Bergant, Z. High Cycle Fatigue Behaviour of Autoclave-Cured Woven Carbon Fibre-Reinforced Polymer Composite Gears. Polym. Test. 2021, 102, 107339.
  7. Lekrine, A.; Belaadi, A.; Makhlouf, A.; Amroune, S.; Bourchak, M.; Satha, H.; Jawaid, M. Structural, thermal, mechanical and physical properties of Washingtonia filifera fibres reinforced thermoplastic biocomposites. Mater. Today Commun. 2022, 31, 103574.
  8. Helaili, S.; Chafra, M.; Chevalier, Y. Natural Fiber Alfa/Epoxy Randomly Reinforced Composite Mechanical Properties Identification. Structures 2021, 34, 542–549.
  9. Reddy, B.M.; Reddy, P.V.; Reddy, Y.V.M.; Reddy, R.M. Mechanical, Thermal and Morphological Properties of Raw Cordia Dichotoma Fiber Reinforced Epoxy Composites. Curr. Res. Green Sustain. Chem. 2022, 5, 100264.
  10. Jawaid, M.; Awad, S.; Fouad, H.; Asim, M.; Saba, N.; Dhakal, H.N. Improvements in the Thermal Behaviour of Date Palm/Bamboo Fibres Reinforced Epoxy Hybrid Composites. Compos. Struct. 2021, 277, 114644.
  11. Ranjan, C.; Ahmed, Z.; Kumar, S.R.; Kumar, A.; Kumar, A.; Kumar, K. Fabrication and Strength Analysis of Rice Straw Fibers Reinforced Epoxy Biodegradable Composite. Mater. Today Proc. 2021, 46, 331–335.
  12. Ranjan, C.; Ahmed, Z.; Kumar, S.R.; Kumar, A.; Kumar, A.; Kumar, K. Experimental Investigation and Comparative Analysis of Mechanical Properties of Cross Layer Rice Straw Fibers Filled Reinforced Epoxy Biodegradable Composite. Mater. Today Proc. 2021, 46, 340–344.
  13. John, M.J.; Thomas, S. Biofibres and Biocomposites. Carbohydr. Polym. 2008, 71, 343–364.
  14. Mohanty, A.K.; Misra, M.; Hinrichsen, G. Biofibres, Biodegradable Polymers and Biocomposites: An Overview. Macromol. Mater. Eng. 2000, 276–277, 1–24.
  15. Khare, J.M.; Dahiya, S.; Gangil, B.; Ranakoti, L.; Sharma, S.; Huzaifah, M.R.M.; Ilyas, R.A.; Dwivedi, S.P.; Chattopadhyaya, S.; Kilinc, H.C.; et al. Comparative Analysis of Erosive Wear Behaviour of Epoxy, Polyester and Vinyl Esters Based Thermosetting Polymer Composites for Human Prosthetic Applications Using Taguchi Design. Polymers 2021, 13, 3607.
  16. Kumar, S.; Somashekhar, H.; Hiremath, S. Natural Fiber Reinforced Composites in the Context of Biodegradability: A Review; Elsevier Ltd.: Amsterdam, The Netherlands, 2020; Volume 322.
  17. Sathish, S.; Karthi, N.; Prabhu, L.; Gokulkumar, S.; Balaji, D.; Vigneshkumar, N.; Ajeem Farhan, T.S.; Akilkumar, A.; Dinesh, V.P. A Review of Natural Fiber Composites: Extraction Methods, Chemical Treatments and Applications. Mater. Today Proc. 2021, 45, 8017–8023.
  18. Prabhu, L.; Krishnaraj, V.; Sathish, S.; Gokulkumar, S.; Karthi, N.; Rajeshkumar, L.; Balaji, D.; Vigneshkumar, N.; Elango, K.S. A Review on Natural Fiber Reinforced Hybrid Composites: Chemical Treatments, Manufacturing Methods and Potential Applications. Mater. Today Proc. 2021, 45, 8080–8085.
  19. Zhang, K.; Weng, B.; Cheng, D.; Guo, Y.; Chen, T.; Wang, L.; Wang, C.; Xu, R.; Chen, Y. Influence of Chemical Treatment and Drying Method on the Properties of Cellulose Fibers of Luffa Sponge. Int. J. Biol. Macromol. 2021, 180, 112–120.
  20. Mamidi, V.K.; Pugazhenthi, R.; Manikandan, G.; Vinoth Kumar, M. Mechanical and Microscopic Study on Tinospora Cordifolia and Tectona Grandis Composites. Mater. Today Proc. 2020, 22, 772–775.
  21. Asim, M.; Jawaid, M.; Khan, A.; Asiri, A.M.; Malik, M.A. Effects of Date Palm Fibres Loading on Mechanical, and Thermal Properties of Date Palm Reinforced Phenolic Composites. J. Mater. Res. Technol. 2020, 9, 3614–3621.
  22. Ramasamy, M.; Daniel, A.A.; Nithya, M.; Kumar, S.S.; Pugazhenthi, R. Characterization of Natural—Synthetic Fiber Reinforced Epoxy Based Composite—Hybridization of Kenaf Fiber and Kevlar Fiber. Mater. Today Proc. 2020, 37 Pt 2, 1699–1705.
  23. Dinesh, S.; Kumaran, P.; Mohanamurugan, S.; Vijay, R.; Singaravelu, D.L.; Vinod, A.; Sanjay, M.R.; Siengchin, S.; Bhat, K.S. Influence of Wood Dust Fillers on the Mechanical, Thermal, Water Absorption and Biodegradation Characteristics of Jute Fiber Epoxy Composites. J. Polym. Res. 2020, 27, 9.
  24. Abu-Jdayil, B.; Barkhad, M.S.; Mourad, A.H.I.; Iqbal, M.Z. Date Palm Wood Waste-Based Composites for Green Thermal Insulation Boards. J. Build. Eng. 2021, 43, 103224.
  25. Uflyand, I.; Irzhak, T.F.; Irzhak, V.I. Formation of Fiber Composites with an Epoxy Matrix: State-of-the-Art and Future Development. Mater. Manuf. Process. 2022, 37, 723–747.
  26. Kumar, R.; Anand, A. Tribological Behavior of Natural Fiber Reinforced Epoxy Based Composites: A Review. Mater. Today Proc. 2019, 18, 3247–3251.
  27. Torres-Arellano, M.; Renteria-Rodríguez, V.; Franco-Urquiza, E. Mechanical Properties of Natural-Fiber-Reinforced Biobased Epoxy Resins Manufactured by Resin Infusion Process. Polymers 2020, 12, 2841.
  28. Ankit; Sharma, R.; Kumar Sharma, D.; Agarwal, R.; Lal Rinawa, M.; Subbiah, R.; Kumar, P.M. Investigating the Effect of Nanoclay Content on the Mechanical Characteristics of Natural Fiber Epoxy Composite. Mater. Today Proc. 2022, 66, 1319–1323.
  29. Iliyasu, I.; Bitrus, J.; Nathaniel, A.; Adeniyi, K.; Oyewusi, E. Response Surface Methodology for the Optimization of the Effect of Fibre Parameters on the Physical and Mechanical Properties of Deleb Palm Fibre Reinforced Epoxy Composites. Sci. Afr. 2022, 16, e01269.
  30. Ouchte, I.; Chafiq, J.; Ait El Fqih, M.; Chakir, H. Effect of Thermal Treatment on Mechanical Properties and Thermogravimetric Analysis of Laminate Composite Jute/Epoxy. Mater. Today Proc. 2022, 66, 135–139.
  31. Saikumar Reddy, R.V.; Jeeru, L.R.; Venkateshwar Reddy, P.; Swamy, K. Mechanical Properties Evaluation of Pomegranate Peel Powder Filled Jute Fiber Reinforced Epoxy Composites. Mater. Today Proc. 2022, 62 Pt 13, 6923–6926.
  32. Nigrawal, A.; Kumar Sharma, A.; Haque, F.Z. Influence of Surface Modification Technique on the Properties of Jute—Sisal Fibre Filled Epoxy Composites. Mater. Today Proc. 2022, 65, 2578–2580.
  33. Arumugam, H.; Krishnasamy, B.; Perumal, G.; A, A.D.; Abdul Aleem, M.I.; Muthukaruppan, A. Bio-Composites of Rice Husk and Saw Dust Reinforced Bio-Benzoxazine/Epoxy Hybridized Matrices: Thermal, Mechanical, Electrical Resistance and Acoustic Absorption Properties. Constr. Build. Mater. 2021, 312, 125381.
  34. Prabhudass, J.M.; Palanikumar, K. Experimental Investigation of Mechanical and Thermal Properties of Coir-Kenaf Reinforced Epoxy Composites. Mater. Today Proc. 2021, 44, 3834–3837.
  35. Kishore Chowdari, G.; Krishna Prasad, D.V.V.; Devireddy, S.B.R. Physical and Thermal Behaviour of Areca and Coconut Shell Powder Reinforced Epoxy Composites. Mater. Today Proc. 2019, 26, 1402–1405.
  36. Kumar, V.; Kumar, R. Dielectric and Mechanical Properties of Alkali- and Silane-Treated Bamboo-Epoxy Nanocomposites. J. Compos. Mater. 2012, 46, 3089–3101.
  37. Omri, M.A.; Sanjay, M.R.; Triki, A.; Yogesha, B.; Kallel, A. Dielectric Properties and Interfacial Adhesion of Jute, Kenaf and E-Glass Fabrics Reinforcing Epoxy Composites. Polym. Compos. 2019, 40, 2142–2153.
  38. Sreekumar, P.A.; Saiter, J.M.; Joseph, K.; Unnikrishnan, G.; Thomas, S. Electrical Properties of Short Sisal Fiber Reinforced Polyester Composites Fabricated by Resin Transfer Molding. Compos. Part A Appl. Sci. Manuf. 2012, 43, 507–511.
  39. Jin, F.L.; Park, S.J. Preparation and Characterization of Carbon Fiber-Reinforced Thermosetting Composites: A Review. Carbon Lett. 2015, 16, 67–77.
  40. Arun Kumar, S.; Lakshamankumar, A.; Balasivaramareddy, K.; Ramprasath, B. Fabrication and Study on Carbon Fiber with Epoxy and Vinyl Ester Resins. IOP Conf. Ser. Mater. Sci. Eng. 2018, 402, 012160.
  41. Patro, B.; Shashidhar, D.; Rajeshwer, B.; Padhi, S.K. Preparation and Testing of PAN Carbon/Epoxy Resin Composites. Open Mech. Eng. J. 2017, 11, 14–24.
  42. Bazli, M.; Abolfazli, M. Mechanical Properties of Fibre Reinforced Polymers under Elevated Temperatures: An Overview. Polymers 2020, 12, 2600.
  43. Chen, R.S.; Muhammad, Y.H.; Ahmad, S. Physical, Mechanical and Environmental Stress Cracking Characteristics of Epoxy/Glass Fiber Composites: Effect of Matrix/Fiber Modification and Fiber Loading. Polym. Test. 2021, 96, 107088.
  44. Fu, Y.; Kabir, I.I.; Yeoh, G.H.; Peng, Z. A Review on Polymer-Based Materials for Underwater Sound Absorption. Polym. Test. 2021, 96, 107115.
  45. Shaid Sujon, M.A.; Islam, A.; Nadimpalli, V.K. Damping and Sound Absorption Properties of Polymer Matrix Composites: A Review. Polym. Test. 2021, 104, 107388.
  46. Gibeop, N.; Lee, D.W.; Prasad, C.V.; Toru, F.; Kim, B.S.; Song, J., II. Effect of Plasma Treatment on Mechanical Properties of Jute Fiber/Poly (Lactic Acid) Biodegradable Composites. Adv. Compos. Mater. 2013, 22, 389–399.
  47. Ragoubi, M.; George, B.; Molina, S.; Bienaimé, D.; Merlin, A.; Hiver, J.M.; Dahoun, A. Effect of Corona Discharge Treatment on Mechanical and Thermal Properties of Composites Based on Miscanthus Fibres and Polylactic Acid or Polypropylene Matrix. Compos. Part A Appl. Sci. Manuf. 2012, 43, 675–685.
  48. Jang, J.Y.; Jeong, T.K.; Oh, H.J.; Youn, J.R.; Song, Y.S. Thermal Stability and Flammability of Coconut Fiber Reinforced Poly(Lactic Acid) Composites. Compos. Part B Eng. 2012, 43, 2434–2438.
  49. Werchefani, M.; Lacoste, C.; Elloumi, A.; Belghith, H.; Gargouri, A.; Bradai, C. Enzyme-Treated Tunisian Alfa Fibers Reinforced Polylactic Acid Composites: An Investigation in Morphological, Thermal, Mechanical, and Water Resistance Properties. Polym. Compos. 2020, 41, 1721–1735.
  50. Kovačević, Z.; Bischof, S.; Vujasinović, E.; Fan, M. The Influence of Pre-Treatment of Spartium junceum L. Fibres on the Structure and Mechanical Properties of PLA Biocomposites. Arab. J. Chem. 2019, 12, 449–463.
  51. Huang, X.; Netravali, A. Biodegradable Green Composites Made Using Bamboo Micro/Nano-Fibrils and Chemically Modified Soy Protein Resin. Compos. Sci. Technol. 2009, 69, 1009–1015.
  52. Usman, M.A.; Momohjimoh, I.; Gimba, A.S.B. Effect of Groundnut Shell Powder on the Mechanical Properties of Recycled Polyethylene and Its Biodegradability. J. Miner. Mater. Charact. Eng. 2016, 4, 228–240.
  53. Rajeshkumar, G.; Hariharan, V.; Indran, S.; Sanjay, M.R.; Siengchin, S.; Maran, J.P.; Al-Dhabi, N.A.; Karuppiah, P. Influence of Sodium Hydroxide (NaOH) Treatment on Mechanical Properties and Morphological Behaviour of Phoenix sp. Fiber/Epoxy Composites. J. Polym. Environ. 2021, 29, 765–774.
  54. Ramakrishnan, S.; Krishnamurthy, K.; Rajeshkumar, G.; Asim, M. Dynamic Mechanical Properties and Free Vibration Characteristics of Surface Modified Jute Fiber/Nano-Clay Reinforced Epoxy Composites. J. Polym. Environ. 2021, 29, 1076–1088.
  55. Senthamaraikannan, P.; Kathiresan, M. Characterization of Raw and Alkali Treated New Natural Cellulosic Fi Ber from Coccinia grandis L. Carbohydr. Polym. 2018, 186, 332–343.
  56. Nik Baihaqi, N.M.Z.; Khalina, A.; Mohd Nurazzi, N.; Aisyah, H.A.; Sapuan, S.M.; Ilyas, R.A. Effect of Fiber Content and Their Hybridization on Bending and Torsional Strength of Hybrid Epoxy Composites Reinforced with Carbon and Sugar Palm Fibers. Polimery/Polymers 2021, 66, 36–43.
  57. Safri, S.N.A.; Sultan, M.T.H.; Jawaid, M.; Abdul Majid, M.S. Analysis of Dynamic Mechanical, Low-Velocity Impact and Compression after Impact Behaviour of Benzoyl Treated Sugar Palm/Glass/Epoxy Composites. Compos. Struct. 2019, 226, 111308.
  58. Aiza Jaafar, C.N.; Zainol, I.; Ishak, N.S.; Ilyas, R.A.; Sapuan, S.M. Effects of the Liquid Natural Rubber (LNR) on Mechanical Properties and Microstructure of Epoxy/Silica/Kenaf Hybrid Composite for Potential Automotive Applications. J. Mater. Res. Technol. 2021, 12, 1026–1038.
  59. Chee, S.S.; Jawaid, M.; Alothman, O.Y.; Fouad, H. Effects of Nanoclay on Mechanical and Dynamic Mechanical Properties of Bamboo/Kenaf Reinforced Epoxy Hybrid Composites. Polymers 2021, 13, 395.
  60. Hammami, H.; Jawaid, M.; Kallel, A. Effects of Oil Palm and Montmorillonite Nanofillers on Stiffness and Interfacial Adhesion of Kenaf/Epoxy Hybrid Nanocomposites. Polym. Compos. 2021, 42, 2948–2957.
  61. Yahaya, R.; Sapuan, S.M.; Jawaid, M.; Leman, Z.; Zainudin, E.S. Mechanical Performance of Woven Kenaf-Kevlar Hybrid Composites. J. Reinf. Plast. Compos. 2014, 33, 2242–2254.
  62. Ismail, A.S.; Jawaid, M.; Naveen, J. Void Content, Tensile, Vibration and Acoustic Properties of Kenaf/Bamboo Fiber Reinforced Epoxy Hybrid Composites. Materials 2019, 12, 2094.
  63. Siregar, J.P.; Zalinawati, M.; Cionita, T.; Rejab, M.R.M.; Mawarnie, I.; Jaafar, J.; Hamdan, M.H.M. Mechanical Properties of Hybrid Sugar Palm/Ramie Fibre Reinforced Epoxy Composites. Mater. Today Proc. 2020, 46, 1729–1734.
  64. Prabhu, L.; Krishnaraj, V.; Gokulkumar, S.; Sathish, S.; Sanjay, M.R.; Siengchin, S. Mechanical, Chemical and Sound Absorption Properties of Glass/Kenaf/Waste Tea Leaf Fiber-Reinforced Hybrid Epoxy Composites. J. Ind. Text. 2022, 51, 1674–1700.
  65. Sakinah, F.; Suriani, M.J.; Ilyas, R.A.; Petru, M.; Sapuan, S.M. Flammability, Tensile, and Morphological Properties of Oil. Polymers 2021, 13, 1282.
  66. Osorio, L.; Trujillo, E.; Van Vuure, A.W.; Verpoest, I. Morphological Aspects and Mechanical Properties of Single Bamboo Fibers and Flexural Characterization of Bamboo/ Epoxy Composites. J. Reinf. Plast. Compos. 2011, 30, 396–408.
  67. Biswas, S.; Satapathy, A.; Patnaik, A. Effect of Ceramic Fillers on Mechanical Properties of Bamboo Fiber Reinforced Epoxy Composites: A Comparative Study. Adv. Mater. Res. 2010, 123–125, 1031–1034.
  68. Aruchamy, K.; Pavayee Subramani, S.; Palaniappan, S.K.; Sethuraman, B.; Velu Kaliyannan, G. Study on Mechanical Characteristics of Woven Cotton/Bamboo Hybrid Reinforced Composite Laminates. J. Mater. Res. Technol. 2020, 9, 718–726.
  69. Davoodi, M.M.; Sapuan, S.M.; Ahmad, D.; Ali, A.; Khalina, A.; Jonoobi, M. Mechanical Properties of Hybrid Kenaf/Glass Reinforced Epoxy Composite for Passenger Car Bumper Beam. Mater. Des. 2010, 31, 4927–4932.
  70. Suriani, M.J.; Zainudin, H.A.; Ilyas, R.A.; Petrů, M.; Sapuan, S.M.; Ruzaidi, C.M.; Mustapha, R. Kenaf fiber/pet yarn reinforced epoxy hybrid polymer composites: Morphological, tensile, and flammability properties. Polymers 2021, 13, 1532.
  71. Supian, A.B.M.; Sapuan, S.M.; Zuhri, M.Y.M.; Zainudin, E.S.; Ya, H.H.; Hisham, H.N. Effect of Winding Orientation on Energy Absorption and Failure Modes of Filament Wound Kenaf/Glass Fibre Reinforced Epoxy Hybrid Composite Tubes under Intermediate-Velocity Impact (IVI) Load. J. Mater. Res. Technol. 2021, 10, 1–14.
  72. Chandrakala, K.; Vanaja, A.; Rao, R. Storage Life Studies on RT Cure Glass-Epoxy Pre-Pregs. J. Reinf. Plast. Compos. 2009, 28, 1987–1997.
  73. Ku, H.; Wang, H.; Pattarachaiyakoop, N.; Trada, M. A Review on the Tensile Properties of Natural Fiber Reinforced Polymer Composites. Compos. Part B Eng. 2011, 42, 856–873.
  74. Dayo, A.Q.; Gao, B.-C.; Wang, J.; Liu, W.-B.; Derradji, M.; Shah, A.H.; Babar, A.A. Natural Hemp Fiber Reinforced Polybenzoxazine Composites: Curing Behavior, Mechanical and Thermal Properties. Compos. Sci. Technol. 2017, 144, 114–124.
  75. Fuqua, M.A.; Huo, S.; Ulven, C.A. Natural Fiber Reinforced Composites. Polym. Rev. 2012, 52, 259–320.
  76. Sanjay, M.R.; Madhu, P.; Jawaid, M.; Senthamaraikannan, P.; Senthil, S.; Pradeep, S. Characterization and Properties of Natural Fiber Polymer Composites: A Comprehensive Review; Elsevier: Amsterdam, The Netherlands, 2018; Volume 172.
  77. Angelov, I.; Wiedmer, S.; Evstatiev, M.; Friedrich, K.; Mennig, G. Pultrusion of a Flax/Polypropylene Yarn. Compos. Part A Appl. Sci. Manuf. 2007, 38, 1431–1438.
  78. Vemuganti, S.; Chennareddy, R.; Riad, A.; Reda Taha, M.M. Pultruded Gfrp Reinforcing Bars Using Nanomodified Vinyl Ester. Materials 2020, 13, 5710.
  79. Rangappa, S.M.; Parameswaranpillai, J.; Siengchin, S.; Jawaid, M.; Ozbakkaloglu, T. Bioepoxy Based Hybrid Composites from Nano-Fillers of Chicken Feather and Lignocellulose Ceiba Pentandra. Sci. Rep. 2022, 12, 397.
  80. Atmakuri, A.; Palevicius, A.; Kolli, L.; Vilkauskas, A.; Janusas, G. Development and Analysis of Mechanical Properties of Caryota and Sisal Natural Fibers Reinforced Epoxy Hybrid Composites. Polymers 2021, 13, 864.
  81. Xia, C.; Garcia, A.C.; Shi, S.Q.; Qiu, Y.; Warner, N.; Wu, Y.; Cai, L.; Rizvi, H.R.; D’Souza, N.A.; Nie, X. Hybrid Boron Nitride-Natural Fiber Composites for Enhanced Thermal Conductivity. Sci. Rep. 2016, 6, 34726.
  82. Supian, A.B.M.; Jawaid, M.; Rashid, B.; Fouad, H.; Saba, N.; Dhakal, H.N.; Khiari, R. Mechanical and Physical Performance of Date Palm/Bamboo Fibre Reinforced Epoxy Hybrid Composites. J. Mater. Res. Technol. 2021, 15, 1330–1341.
  83. Sanjay, M.; Yogesha, B. Studies on Natural/Glass Fiber Reinforced Polymer Hybrid Composites: An Evolution. Mater. Today Proc. 2017, 4, 2739–2747.
  84. da Costa Garcia Filho, F.; da Luz, F.S.; Nascimento, L.F.C.; Satyanarayana, K.G.; Drelich, J.W.; Monteiro, S.N. Mechanical Properties of Boehmeria Nivea Natural Fabric Reinforced Epoxy Matrix Composite Prepared by Vacuum-Assisted Resin Infusion Molding. Polymers 2020, 12, 1311.
  85. Barczewski, M.; Sałasińska, K.; Szulc, J. Application of Sunflower Husk, Hazelnut Shell and Walnut Shell as Waste Agricultural Fillers for Epoxy-Based Composites: A Study into Mechanical Behavior Related to Structural and Rheological Properties. Polym. Test. 2019, 75, 1–11.
  86. Gopal Krishna, U.B.; Srinivasa, C.S.; Amara, N.S.; Gudoor, S. Processing, Characterization and Property Evaluation of Seashell and Glass Fibre Added Epoxy Based Polymer Matrix Composite. Mater. Today Proc. 2019, 35, 417–422.
  87. Ramana, M.V.; Ramprasad, S. Experimental Investigation on Jute/Carbon Fibre Reinforced Epoxy Based Hybrid Composites. Mater. Today Proc. 2017, 4, 8654–8664.
  88. Gairola, S.P.; Tyagi, Y.K.; Gangil, B.; Sharma, A. Fabrication and Mechanical Property Evaluation of Non-Woven Banana Fibre Epoxy-Based Polymer Composite. Mater. Today Proc. 2020, 44, 3990–3996.
  89. Kyriazis, A.; Kilian, R.; Sinapius, M.; Rager, K.; Dietzel, A. Tensile Strength and Structure of the Interface between a Room-Curing Epoxy Resin and Thermoplastic Films for the Purpose of Sensor Integration. Polymers 2021, 13, 330.
  90. dos Reis, A.K.; Monticelli, F.M.; Neves, R.M.; de Paula Santos, L.F.; Botelho, E.C.; Luiz Ornaghi, H. Creep Behavior of Polyetherimide Semipreg and Epoxy Prepreg Composites: Structure vs. Property Relationship. J. Compos. Mater. 2020, 54, 4121–4131.
  91. Klosterman, D.; Browning, C.; Hakim, I.; Lach, K. Investigation of Various Techniques for Controlled Void Formation in Fiberglass/Epoxy Composites. J. Compos. Mater. 2021, 55, 489–506.
  92. Sienkiewicz, N.; Dominic, M.; Parameswaranpillai, J. Natural Fillers as Potential Modifying Agents for Epoxy Composition: A Review. Polymers 2022, 14, 265.
  93. Sinha, A.K.; Narang, H.K.; Bhattacharya, S. Tensile Strength of Abaca Epoxy Laminated Composites. Mater. Today Proc. 2018, 5, 27861–27864.
  94. Vijaya Ramnath, B.; Junaid Kokan, S.; Niranjan Raja, R.; Sathyanarayanan, R.; Elanchezhian, C.; Rajendra Prasad, A.; Manickavasagam, V.M. Evaluation of Mechanical Properties of Abaca-Jute-Glass Fibre Reinforced Epoxy Composite. Mater. Des. 2013, 51, 357–366.
  95. Vidyashri, V.; Lewis, H.; Narayanasamy, P.; Mahesha, G.T.; Bhat, K.S. Preparation of Chemically Treated Sugarcane Bagasse Fiber Reinforced Epoxy Composites and Their Characterization. Cogent Eng. 2019, 6, 1708644.
  96. Tewari, M.; Singh, V.K.; Gope, P.C.; Chaudhary, A.K. Evaluation of Mechanical Properties of Bagasse-Glass Fiber Reinforced Composite. J. Mater. Environ. Sci. 2012, 3, 171–184.
  97. Kushwaha, P.K.; Kumar, R. Influence of Chemical Treatments on the Mechanical and Water Absorption Properties of Bamboo Fiber Composites. J. Reinf. Plast. Compos. 2011, 30, 73–85.
  98. Latha, P.S.; Rao, M.V.; Kumar, V.V.K.; Raghavendra, G.; Ojha, S.; Inala, R. Evaluation of Mechanical and Tribological Properties of Bamboo–Glass Hybrid Fiber Reinforced Polymer Composite. J. Ind. Text. 2016, 46, 3–18.
  99. Venkateshwaran, N.; Elaya Perumal, A.; Arunsundaranayagam, D. Fiber Surface Treatment and Its Effect on Mechanical and Visco-Elastic Behaviour of Banana/Epoxy Composite. Mater. Des. 2013, 47, 151–159.
  100. Batu, T.; Lemu, H.G. Investigation of Mechanical Properties of False Banana/Glass Fiber Reinforced Hybrid Composite Materials. Results Mater. 2020, 8, 100152.
  101. Biswas, S.; Kindo, S.; Patnaik, A. Effect of Fiber Length on Mechanical Behavior of Coir Fiber Reinforced Epoxy Composites. Fibers Polym. 2011, 12, 73–78.
  102. Bhagat, V.K.; Biswas, S.; Dehury, J. Physical, Mechanical, and Water Absorption Behavior of Coir/Glass Fiber Reinforced Epoxy Based Hybrid Composites. Polym. Compos. 2014, 35, 925–930.
  103. Do Carmo Amorim, F.; De Souzaa, J.F.B.; Dos Reis, J.M.L. The Quasi-Static and Dynamic Mechanical Behavior of Epoxy Matrix Composites Reinforced with Curaua Fibers. Mater. Res. 2018, 21, 1–6.
  104. Saba, N.; Alothman, O.Y.; Almutairi, Z.; Jawaid, M.; Ghori, W. Date Palm Reinforced Epoxy Composites: Tensile, Impact and Morphological Properties. J. Mater. Res. Technol. 2019, 8, 3959–3969.
  105. Van de Weyenberg, I.; Ivens, J.; De Coster, A.; Kino, B.; Baetens, E.; Verpoest, I. Influence of Processing and Chemical Treatment of Flax Fibres on Their Composites. Compos. Sci. Technol. 2003, 63, 1241–1246.
  106. Wang, H.; Yang, L.; Wu, H. Study on Mechanical and Thermomechanical Properties of Flax/Glass Fiber Hybrid-Reinforced Epoxy Composites. Polym. Compos. 2021, 42, 714–723.
  107. Islam, M.S.; Pickering, K.L.; Foreman, N.J. Influence of Alkali Fiber Treatment and Fiber Processing on the Mechanical Properties of Hemp/Epoxy Composites. J. Appl. Polym. Sci. 2011, 119, 3696–3707.
  108. Somashekar, S.M.; Manjunath, V.; Gowtham, M.J.; Balasubramaniam, N.S. Investigation on Mechanical Properties of Hemp-e Glass Fiber Reinforced Polymer Composites. Int. J. Mech. Eng. Technol. 2016, 7, 182–192.
  109. Gonzalez-Murillo, C.; Ansell, M.P. Mechanical Properties of Henequen Fibre/Epoxy Resin Composites. Mech. Compos. Mater. 2009, 45, 435–442.
  110. De Jesús, A.M.; Ramírez, J.M.O.; Reyes-Araiza, J.L.; Manzano-Ramírez, A.; Apatiga, L.M.; Eleazar, U.A.; Ramírez, J.R.; Arroyo, C.M. Tensile and Flexural Strength of Untreated Woven Henequen-Glass Fabric Reinforced Epoxy Hybrid Composites. Key Eng. Mater. 2014, 600, 569–575.
  111. Guptaa, M.K.; Srivastava, R.K. Mechanical, Thermal and Dynamic Mechanical Analysis of Jute Fibre Reinforced Epoxy Composite. Indian J. Fibre Text. Res. 2017, 42, 64–71.
  112. Gujjala, R.; Ojha, S.; Acharya, S.K.; Pal, S.K. Mechanical Properties of Woven Jute-Glass Hybrid-Reinforced Epoxy Composite. J. Compos. Mater. 2014, 48, 3445–3455.
  113. Ismail, N.F.; Mohd Radzuan, N.A.; Sulong, A.B.; Muhamad, N.; Che Haron, C.H. The Effect of Alkali Treatment on Physical, Mechanical and Thermal Properties of Kenaf Fiber and Polymer Epoxy Composites. Polymers 2021, 13, 2005.
  114. Zuhri, M.; Yusoff, M.; Mohd Sapuan, S.; Ismail, N.; Wirawan, R. Mechanical Properties of Short Random Oil Palm Fibre Reinforced Epoxy Composites. Sains Malays. 2010, 39, 87–92.
  115. Nagarajan, T.T.; Babu, A.S.; Palanivelu, K.; Nayak, S.K. Mechanical and Thermal Properties of PALF Reinforced Epoxy Composites. Macromol. Symp. 2016, 361, 57–63.
  116. Mittal, M.; Chaudhary, R. Development of PALF/Glass and COIR/Glass Fiber Reinforced Hybrid Epoxy Composites. J. Mater. Sci. Surf. Eng. 2018, 6, 851–861.
  117. Nascimento, D.C.O.; Ferreira, A.S.; Monteiro, S.N.; Aquino, R.C.M.P.; Kestur, S.G. Studies on the Characterization of Piassava Fibers and Their Epoxy Composites. Compos. Part A Appl. Sci. Manuf. 2012, 43, 353–362.
  118. Gu, Y.; Tan, X.; Yang, Z.; Li, M.; Zhang, Z. Hot Compaction and Mechanical Properties of Ramie Fabric/Epoxy Composite Fabricated Using Vacuum Assisted Resin Infusion Molding. Mater. Des. 2014, 56, 852–861.
  119. Rong, M.Z.; Zhang, M.Q.; Liu, Y.; Yang, G.C.; Zeng, H.M. The Effect of Fiber Treatment on the Mechanical Properties of Unidirectional Sisal-Reinforced Epoxy Composites. Compos. Sci. Technol. 2001, 61, 1437–1447.
  120. B, A.Z.; Gebremedhen, H.S. Characterization of Sisal-Glass Fiber Reinforced; Springer International Publishing: Cham, Switzerland, 2021; Volume 1.
  121. Mittal, V.; Saini, R.; Sinha, S. Natural Fiber-Mediated Epoxy Composites—A Review. Compos. Part B Eng. 2016, 99, 425–435.
  122. Coroller, G.; Lefeuvre, A.; Le Duigou, A.; Bourmaud, A.; Ausias, G.; Gaudry, T.; Baley, C. Effect of Flax Fibres Individualisation on Tensile Failure of Flax/Epoxy Unidirectional Composite. Compos. Part A Appl. Sci. Manuf. 2013, 51, 62–70.
  123. Alamri, H.; Low, I.M. Mechanical Properties and Water Absorption Behaviour of Recycled Cellulose Fibre Reinforced Epoxy Composites. Polym. Test. 2012, 31, 620–628.
  124. Mishra, V.; Biswas, S. Physical and Mechanical Properties of Bi-Directional Jute Fiber Epoxy Composites. Procedia Eng. 2013, 51, 561–566.
  125. Romli, F.I.; Alias, A.N.; Rafie, A.S.M.; Majid, D.L.A.A. Factorial Study on the Tensile Strength of a Coir Fiber-Reinforced Epoxy Composite. AASRI Procedia 2012, 3, 242–247.
  126. Lu, T.; Jiang, M.; Jiang, Z.; Hui, D.; Wang, Z.; Zhou, Z. Effect of Surface Modification of Bamboo Cellulose Fibers on Mechanical Properties of Cellulose/Epoxy Composites. Compos. Part B Eng. 2013, 51, 28–34.
  127. Newman, R.H.; Clauss, E.C.; Carpenter, J.E.P.; Thumm, A. Epoxy Composites Reinforced with Deacetylated Phormium Tenax Leaf Fibres. Compos. Part A Appl. Sci. Manuf. 2007, 38, 2164–2170.
  128. Mylsamy, K.; Rajendran, I. The Mechanical Properties, Deformation and Thermomechanical Properties of Alkali Treated and Untreated Agave Continuous Fibre Reinforced Epoxy Composites. Mater. Des. 2011, 32, 3076–3084.
More
This entry is offline, you can click here to edit this entry!
Academic Video Service

Quick Survey

Encyclopedia MDPI is conducting a targeted survey to identify the specific barriers hindering efficient research. We invite you to spend 3 minutes defining the priorities for our next generation of structured knowledge tools.
Take Survey