Your browser does not fully support modern features. Please upgrade for a smoother experience.
Antidiabetic Properties of Plant Secondary Metabolites: Comparison
Please note this is a comparison between Version 1 by Olga Babich and Version 2 by Lindsay Dong.

Plants with a general tonic effect, plants containing insulin-like substances, plant purifiers, and plants rich in vitamins, organic acids, and other nutrients have been shown to play an important role in the treatment and prevention of type 2 diabetes mellitus and its complications.

  • diabetes mellitus
  • plants
  • secondary metabolites
  • antidiabetic effect

1. Main Plants Used to Treat Diabetes

1.1. Barberry (Berberis)

Barberry (family Berberidaceae) is found all over the world and is used as both a food and a spice. The isoquinoline alkaloid berberine has been isolated from barberry (Figure 12) and has been shown to be effective in the treatment of DM and other metabolic diseases [1][40]. In addition to DM, berberine is used in the treatment of cancer, digestive, cardiovascular and neurological diseases. Berberine can inhibit the growth of bacteria, in particular Helicobacter pylori. This alkaloid regulates glycometabolism and lipid metabolism, improves energy expenditure, reduces body weight, and alleviates nonalcoholic fatty liver disease. Berberine also improves cardiovascular hemodynamics, suppresses ischemic arrhythmias, and reduces the developments of atherosclerosis and hypertension. Berberine exhibits potent neuroprotective effects, including antioxidant, anti-apoptotic, and anti-ischemic effects [2][46].
Figure 12.
Chemical formula of berberine (C
20
H
17
NO
4
).

1.2. Turmeric (Curcuma longa)

Curcumin, a polyphenol isolated from turmeric root (
Figure 2), is used as a coloring agent in the food industry. Curcumin is a biologically active molecule, a natural polyphenol present in the turmeric rhizome. Curcumin has various pharmacological and biological effects reported in in vitro and in vivo studies including antioxidant, cardioprotective, anti-inflammatory, antimicrobial, nephroprotective, antitumor, hepatoprotective, immunomodulatory, hypoglycemic, and antirheumatic effects. In animal models, curcumin extract delayed diabetes, improved β-cell function, prevented β-cell death, and reduced insulin resistance [3]. Studies have proven its therapeutic effect against DM [4]. For example, 1500 mg of curcumin taken on an empty stomach daily has been shown to reduce blood glucose levels and weight in type 2 diabetes patients [5].
3), is used as a coloring agent in the food industry. Curcumin is a biologically active molecule, a natural polyphenol present in the turmeric rhizome. Curcumin has various pharmacological and biological effects reported in in vitro and in vivo studies including antioxidant, cardioprotective, anti-inflammatory, antimicrobial, nephroprotective, antitumor, hepatoprotective, immunomodulatory, hypoglycemic, and antirheumatic effects. In animal models, curcumin extract delayed diabetes, improved β-cell function, prevented β-cell death, and reduced insulin resistance [52]. Studies have proven its therapeutic effect against DM [53]. For example, 1500 mg of curcumin taken on an empty stomach daily has been shown to reduce blood glucose levels and weight in type 2 diabetes patients [41].
Figure 23. Chemical formula of curcumin.
Curcumin can suppress oxidative stress and inflammation. In addition, it significantly reduces fasting blood glucose, glycated hemoglobin, and body mass index [6]. Additionally, curcumin-based dietary supplements have a positive effect on blood lipids in prediabetes and type 2 DM [7][8].

1.3. Bitter melon (

Curcumin can suppress oxidative stress and inflammation. In addition, it significantly reduces fasting blood glucose, glycated hemoglobin, and body mass index [54]. Additionally, curcumin-based dietary supplements have a positive effect on blood lipids in prediabetes and type 2 DM [55,56].

1.3. Bitter melon (Momordica charantia)

Momordica charantia)

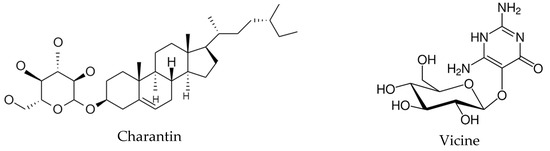
Momordica charantia Linnaeus (Cucurbitaceae) has traditionally and widely been used as a food and herbal remedy for type 2 diabetes in Asia, Brazil and East Africa [9][59]. The hypoglycemic activity of a crude extract of M. charantia L. in rabbits sparked interest in the antidiabetic activity of M. charantia L. in the 1940s. The therapeutic mechanisms of M. charantia focus on improving insulin resistance by increasing glucose uptake, consumption, and utilization [10][61]. Compounds that have been isolated from M. charantia, including the insulin-like peptide charantin and the alkaloid vicine (Figure 34), have hypoglycemic effects. The largest amount of charantin is found in the pulp, while vicine is present in abundance in the fruit [11][62]. Furthermore, the active compounds in this plant increase pancreatic insulin secretion, decrease insulin resistance, and improve the ability of peripheral and skeletal muscle cells to use glucose. They also inhibit glucose absorption in the intestine and suppress key enzymes in gluconeogenic pathways [12][42].
Figure 34.
Active compounds of
Momordica charantia
L.

1.4. Ginseng (Panax)

Ginseng derivatives can be used in diabetes treatment [13][69]. Ginseng supplementation significantly reduced serum concentrations of fasting plasma glucose, total cholesterol, interleukin-6, and insulin resistance index, and also lowered tumor necrosis factor-α levels. Ginseng intake alters total and low-density lipoprotein cholesterol levels [14][15][70,71].
A combination of two widely consumed ginseng species (American ginseng and Korean red ginseng), enriched with ginsenoside (Figure 45), was shown to improve glycemic and blood pressure control in a study by Jovanovski et al. [16][43]. American ginseng may reduce postprandial glycemia by lowering glycated hemoglobin and glucose levels [17][72].
Figure 45.
Ginseng ginsenoside, belonging to the class of natural steroid glycosides and triterpene saponins.

1.5. Siberian Ginseng (Eleutherococcus)

The active compounds of Eleutherococcus that exhibit an antidiabetic effect are lignans, phenylpropanoids, flavonoids and triterpenes. The mechanisms of their therapeutic action include the inhibition of α-glucosidase and α-amylase and the improvement of insulin resistance [18][19][20][44,78,79]. However, there are very few studies that have investigated the hypoglycemic effects of Eleutherococcus.

1.6. Golden root (Rhodiola rosea L.)

Rhodiola species extracts are widely used as herbal medicines or dietary supplements in Asia, Europe, and the United States. Salidroside (Figure 56), a p-hydroxyphenethyl-β-glucoside compound, is the main active ingredient in Rhodiola root. Several studies have recently revealed that rhodiola and salidroside may have pharmacological properties that can be used to treat diabetes, with studies confirming that AMP-activated protein kinase (AMPK) and AMPK-associated signaling are associated with its beneficial effects [21][80].
Figure 56.
Structural formula of salidroside and tyrosol glucoside from
Rhodiola rosea
L.
Rhodiola rosea and its active compounds, comprising an important immunomodulator, exhibit a variety of pharmacological effects in various models of type 2 diabetes, including inhibition of hepatic gluconeogenesis, suppression of adipogenesis and lipid peroxidation, increased survival of islet B-cells, and so on, due to anti-inflammatory action.

1.7. Stevia (Stevia rebaudiana Bertoni)

Stevia is a sweet natural glycoside and calorie-free sweetener extracted from the leaves of Stevia rebaudiana Bertoni and used as a substitute for artificial sweeteners [22][85]. Stevia also has antioxidant activity. The antidiabetic properties of stevia are due to the inhibition of advanced glycation end products [23][86]. In a zebrafish model of diet-induced obesity, stevioside (a glycoside derived from an extract of plants of the genus Stevia, Figure 67) has been shown to improve glucose tolerance, oxidative stress, and inflammatory mediators linking obesity to insulin resistance, as well as its epigenetic regulation [22][85].
Figure 67.
Structural formula of stevioside.
Stevioside therapy increases the ability of diabetic rats to tolerate glucose and insulin and returns abnormally high levels of glucose, serum insulin, and lipid profile to normal. Stevioside contributes to the normalization of altered levels of lipid peroxidase, hydrogen peroxide and hydroxyl radical, antioxidant enzymes, and insulin signaling molecules, including the insulin receptor, insulin receptor-1 substrate, and Akt mRNA levels. In addition, stevioside enhanced glucose uptake and oxidation in diabetic muscles by very effectively increasing the synthesis of glucose transporter 4, similar to metformin [24][87]. Stevioside supplementation also increased total calorie intake while decreasing BMI, waist circumference, waist-to-hip ratio, and fat mass index in the obese group [25][88].

2. Mechanisms of Action of Medicinal Plant Components on the Course of DM

Currently, 150–200 species of medicinal plants with hypoglycemic effects are used in medical procedures. Along with food ingredients (proteins, fats, carbohydrates), plants also contain biologically active substances, among which hypoglycemic compounds (galenin, inosine, inulin) play a leading role [26][34]. According to some reports, phytopreparations contribute to the restoration of insulin production by pancreatic beta cells. Some medicinal plants (ginseng, eleutherococcus, oplopanax, etc.) have an immunostimulating effect, normalizing disorders specific to diabetes mellitus. These and other herbal remedies boost both the central and automatic nervous systems. By stimulating the vagoinsular nervous system, phytopreparations increase the function of the pancreas. Many plants, due to the content of their highly active substances, provide anti-inflammatory, choleretic, sedative, and tonic effects and enrich the body with vitamins and microelements, favorably affecting carbohydrate and other types of metabolism, increasing the overall resistance of the body [27][47]. One cannot anticipate a rapid therapeutic effect given the low concentration of active components in plants. Phytotherapy should be practiced for a long time, observing medicinal preparation technology and evaluating the effectiveness of their effect on well-being, carbohydrate metabolism, and other indicators. In the case of insufficient effect, treatment tactics must be reconsidered in order to achieve a positive effect [28][50].

3. Groups of Biologically Active Substances of Medicinal Plants Used for the Treatment of DM

3.1. Insulin-like Substances of Plants, Their Mechanism of Lowering Blood Sugar

Insulin is a protein hormone responsible for carbohydrate metabolism regulation. The physiological effects of insulin are manifested due to its binding to the insulin receptor on the plasma membrane of target cells [29][89]. Insulin signaling in target tissues causes a variety of biological effects. These events are necessary for normal growth and development, as well as for normal homeostasis of glucose, fat and protein metabolism. The mechanism of action of insulin is a series of cascade signals caused by insulin binding to the insulin receptor. This results in receptor autophosphorylation and tyrosine kinase activation, resulting in tyrosine phosphorylation of insulin receptor substrates. Phosphorylation of insulin receptor substrates leads to the activation of phosphatidylinositol 3-kinase and subsequently to the activation of Akt kinase and its downstream mediator AS160, all of which are important steps in the stimulation of insulin-induced glucose transport. It is believed that impaired activation of phosphatidylinositol-3-kinase and the downstream signaling cascade underlies the emerging insulin resistance [30][90]. The resulting reduced ability of peripheral target tissues to respond to insulin stimulation leads to insulin resistance [31][91]. Bioactive plant derived proteins and peptides control type 2 DM by acting on the insulin signaling pathway. Three peptides, aglycine, viglycine, and ILP, act as insulin mimetics (agonists) to stimulate insulin-sensitive target tissues. Therefore, plant derived bioactive proteins and peptides act through biochemical pathways to modulate insulin resistance and the hyperglycemic state [32][92]. Moringa (Moringa oleifera) is a tree native to India. The insulin-like proteins of this plant have hypoglycemic activity [33][93]. Soy’s insulin-like proteins are of particular interest to researchers. Aglycine, a 37 amino acid bioactive peptide isolated from soybeans, is resistant to digestive enzymes and has antidiabetic properties. Oral aglycine administration could potentially reduce or prevent hyperglycemia by increasing insulin receptor signaling in the skeletal muscle of mice with streptozotocin-induced diabetes/high-fat diet [34][94]. Aglycine is resistant to pepsin, trypsin, and Glu-C protease in vitro proteolysis, which is consistent with its intestinal origin and exogenous origin from plant foods. When administered subcutaneously to mice (at a dose of 10 μg·g−1 of body weight) aglycine has a hyperglycemic effect, leading to a doubling of blood glucose levels within 60 min [35][95]. Furthermore, in vitro experiments have revealed that the IC50 value of aglycine peptide for α-glucosidase inhibition was lower than that of acarbose, indicating that aglycine peptide exhibits inhibitory activity against α-glucosidase. This further confirms the potential of the aglycine peptide as an α-glucosidase inhibitor [36][96]. Bauhinia variegata L. is a flowering plant in the Fabaceae family whose range extends from China through southeast Asia to the Indian subcontinent. The insulin-like proteins of this plant can lower blood glucose levels after three days of therapy [37][97].

3.2. Plant Antioxidants and Their Antidiabetic Properties

Antioxidants are known to reduce the risk of type 2 diabetes [38][39][98,99]. It has been confirmed that oxidative stress is one of the most important factors in the pathogenesis of diabetic retinopathy. Hyperglycemia-induced metabolic disturbances, such as the increased flows of the polyol and hexosamine pathways, hyperactivation of protein kinase C (PKC) isoforms, and the accumulation of advanced glycation end products, can all be caused by oxidative stress (age). Moreover, repression of the antioxidant defense system through hyperglycemia-mediated epigenetic modification also leads to an imbalance between ROS clearance and production. Excessive accumulation of ROS causes damage to mitochondria, cellular apoptosis, inflammation, lipid peroxidation, and structural and functional changes in the retina [40][41][100,101]. Figure 7 9 demonstrates the mechanism of the protective action of plants against diabetes.
Figure 79.
Mechanism of antidiabetic action of plant antioxidants.

3.3. Plant Polysaccharides with Antidiabetic Properties

Plant and fungi polysaccharides are now recognized as potent pharmacological agents with significant therapeutic potential [42][123]. Plant polysaccharides are extremely safe and have a wide range of pharmacological activities, including immunoregulatory, antitumor, antioxidant, anti-aging, and other properties. Recent research has shown that many polysaccharides are beneficial in treating metabolic diseases such as cardiovascular disease, diabetes, obesity, and neurological diseases, which are typically brought on by impaired fat, sugar, and protein metabolism [43][124]. Dietary polysaccharides are mostly derived from natural sources, such as plants, fungi, algae, etc. They are resistant to human digestion and absorption, and ferment completely or partially in the colon [44][45][125,126].

3.3.1. Increased Insulin Levels and Decreased Pancreatic Glucagon Levels

A polysaccharide isolated from Dendrobium officinale (family Orchidaceae) has antidiabetic activity, which is likely due to the regulation of glucagon-mediated hepatic glycogen metabolism and gluconeogenesis, as well as hepatic glycogen structure [46][127]. Polysaccharides from the stems of this plant increase the level of insulin and glucagon-like peptide-1 [47][128].

3.3.2. Increased Insulin Sensitivity

Polysaccharides are extracted from various parts of Anoectochilus roxburghii and Anoectochilus formosanus (Orchidaceae family) plants, which exhibit various antidiabetic activity by increasing insulin sensitivity, inhibiting hepatic gluconeogenesis, and lowering triglyceride levels and low-density lipoprotein cholesterol [48][122]. Polysaccharides from Enteromorpha prolifera (green algae of the Ulvaceae family) promote insulin sensitivity by activating the PGC-1α-FNDC5/irisin pathway [49][129]. In addition, polysaccharides can protect damaged pancreatic islets in mice [50][130].

3.3.3. Inhibition of α-Amylase and α-Glycosidase Enzymes

Many non-starch polysaccharides of plants have inhibitory effects on type 2 DM-associated enzymes [51][131]. Polysaccharides isolated from Aconite coreanum, one of the Aconite species, show inhibitory activity against the glycosidase enzyme, preventing glucose from entering the bloodstream quickly [52][132]. Polysaccharides from bitter melon (Momordica charantia L.) and raw garlic bulbs (Allium sativum L.) have strong antioxidant properties and show inhibitory activity against α-amylase and α-glycosidase [53][54][133,134]. Guava leaves (Psidium guajava L., Myrtaceae) have long been used in Asia and North America as a folk herbal tea for diabetes. The polysaccharides of this plant can scavenge free radicals, and also significantly reduce fasting blood sugar levels by inhibiting the enzymes α-amylase and α-glucosidase [55][135].

3.3.4. Increased Hepatic Glycogen Content

The combination of inulin and Ganoderma lucidum polysaccharides promotes the synthesis of glycogen, a polysaccharide that serves as the main form of glucose storage [56][136]. The polysaccharides of the brown algae Undaria pinnatifida can protect pancreatic islet cells from damage while stimulating glycogen synthesis in the liver [57][137].

3.3.5. Normalized Intestinal Microflora

Polysaccharides regulate the intestinal flora, improve glucose and lipid metabolism disorders, maintain the balance of the islet internal environment, and reduce systemic inflammation [58][138]. Some water-soluble non-starch polysaccharides of cereals, such as oats, glucans, and guar gum, have been reported to reduce glucose absorption, the rate of gastric emptying—and thus the postprandial increase in blood sugar levels—and insulin levels, both in healthy people and diabetic patients, due to their ability to increase viscosity in the gastrointestinal tract [59][139]. Coix seed polysaccharides (CSP) have a hypoglycemic effect through the gut.

3.3.6. Decreased Blood Glucose Levels

A polysaccharide known as β-glucan, which is found in yeast, fungi, bacteria, algae, barley, and oats [60][142], may aid in the regulation of glycemic responses. Numerous factors, including the nature of the food and the concentration and molecular weight of β-glucan, have been found to influence such interactions. Among all these, the dose of β-glucan is considered the most important factor regulating the effect of fiber on glycemic responses. Breakfasts containing 4.6 or 8.6 g of β-glucan have been shown in studies to significantly lower mean serum insulin and glucose concentrations when compared with non-insulin dependent diabetic subjects.

3.3.7. Oxidative Stress Protection

According to some researchers, the antidiabetic effects of polysaccharides are primarily due to their antioxidant properties. The antioxidant activity of polysaccharides helps to reduce the degree of damage to β-cells in the pancreas [61][144]. Pumpkin polysaccharides have antioxidant, antitumor, immunoregulatory, hypoglycemic, and hepatoprotective activity.

3.4. Plant Alkaloids with Antidiabetic Properties

Alkaloids are a class of naturally occurring chemical compounds derived from plants, animals, bacteria, and fungi. They have a wide range of pharmacological activities such as antimalarial, antiasthma, anticancer, antihypertensive, oxytotic, CNS stimulant, muscle relaxant, antispasmodic, cholinomimetic, vasodilator, antiarrhythmic, analgesic, antibacterial, and antihyperglycemic. Several alkaloids, including berberine, boldine, and sanguinarine, have been demonstrated to be potentially effective against various diabetes models [15][71]. The interaction of alkaloids with a variety of proteins involved in glucose homeostasis is the mechanism underlying their antidiabetic effects. Each class of alkaloids has two or more biological activities in which they act as antidiabetic metabolites [62][146]. Medicinal species such as capsicum (Capsicum annuum), turmeric (Curcuma longa), barberry (Berberis vulgaris), and garden cress (Lepidium sativum) are among the most common and therapeutic plants used to control diabetes and have been the subject of several experimental and clinical studies. Alkaloids isolated from these plants (berberine, capsaicin, and trigonelline) are of great interest in this area. Interestingly, the therapeutic effect of alkaloids on blood glucose pathogenesis is mediated through various signaling cascades and pathways, such as inhibition of the α-glucosidase enzyme, blockade of PTP-1B, deactivation of DPP-IV, increased insulin sensitivity, and oxidative stress modulation [63][147].

4. Complications of DM and the Effect of Medicinal Plants and Their Phytocomponents on Them

The absolute or relative deficiencies of insulin and insulin resistance contribute to the development of various metabolic and vascular diseases, neuropathies, and pathological changes in internal organs and tissues, including the digestive system [64][65][66][151,152,153]. The diabetic syndrome is characterized mainly by lesions of the lower extremities. The main pathogenetic factors leading to the development of diabetic foot are peripheral nephropathy and damage to the large arteries of the lower extremities, leading to infection [67][68][154,155]. A decisive role in the development of diabetic retinopathy is played by chronic hypoglycemia and associated biochemical disorders (formation of sorbitol, non-enzymatic glycosylation of retinal vascular proteins, increased oxidative stress). Due to their antioxidant and membrane stabilizing effects, flavonoids can reduce vascular wall permeability and inflammation, as well as determine the antioxidant, anti-inflammatory, and diuretic effects of preparations containing these substances [69][156]. Polyphenolic compounds in phytocomponents react with free radicals to form less active phenolic radicals, facilitating the utilization of oxidized sugars and rapidly slowing the sugar oxidation process in the body. The inhibitory effect of preparations stabilizes the structure of cell membranes, normalizes permeability, improves microcirculation and accelerates the utilization of toxic substances. The end result is the prevention of severe organ damage and the activation of regenerative processes [70][157]. The blueberry, a member of the lingonberry family, is a plant that may help to reduce the side effects of DM. It contains tannins, myrtilene, a mixture of delphidin monomethyl ether and malvidin chloride, vitamins C, B, and carotenes, and it has recently been used to treat diabetes. Neomyrtilene in the leaves of the plant significantly reduces blood glucose levels in experimental diabetic patients [71][72][158,159]. Soy contains flavonoids, amino acids, beta-carotene, and vitamins E, B, and C. Studies have shown that soy extract dissolved in water reduces blood sugar levels by 30–40%, has a diuretic effect and improves pancreatic function [73][160]. This makes the use of soy in DM highly beneficial, in addition to its use as a diuretic and renal drug [70][157]. Vitamin K, uric acid glycosides, formic acid, tannins and proteins, vitamins C and B2, trace elements, flavonoids, chlorophyll, and carotenoids are all present in fresh nettle leaves [74][161]. Kuril tea extract has an anti-inflammatory effect, manifested by a decrease in blood sugar and lipid levels, a protective effect against diabetes, and functional activity of the liver and kidneys. The plant’s therapeutic effects on experimental diabetes have been tested on laboratory animals and it contains flavonoids, vitamin C, carotenes, and tannins. It has been established that it reduces the degree of damage to the islets of Langerhans, slows down the development of diabetes and hypoglycemia, and increases resistance to the toxic effects of DM. Dandelion is an insulin-containing plant that increases the activity of the pancreas, increases insulin secretion, and improves digestion and metabolism [75][162]. Fennel root contains tryptophan compounds, sterols, and 24% of insulin. It is customary to collect the rhizomes along with the aerial parts of the plant for medicinal purposes. The use of plant extracts and phytochemicals is currently popular for the prevention or treatment of various health problems; though this creates problems when classifying them as dietary supplements or nutraceuticals, because they do not require proof of effectiveness [44][125]. The use of herbal medicines or herbal ingredients in combination with traditional medicines requires product approval, including safety measures, quality control, and efficacy data [76][163]. The bioavailability of a plant extract or plant component is critical to its full effect on the body and includes the steps of delivery, absorption, distribution, metabolism, and clearance of the extract/component. The crude plant extracts or plant components showed good biological activity (such as antioxidant activity) in vitro, and a slight decrease in activity was observed in in vivo studies. One of the main reasons why plant extracts or plant compounds work more effectively in vitro is the use of higher effective concentrations than those commonly used in in vivo studies. When used in vivo, effective concentrations reach target tissues or organs after absorption, distribution, metabolism, and degradation, and exhibit biological responses at concentrations lower than those tested in vitro [77][164].   
Academic Video Service